网站首页  词典首页


请输入您要查询的字词:

 

字词 单宁含量的测定(滴定法)
类别 中英文字词句释义及详细解析
释义

单宁含量的测定(滴定法)


1.方法原理

单宁物质为一强还原剂,极易被氧化。以高锰酸钾为氧化剂,根据单宁被活性炭吸附前后的氧化值之差计算单宁物质的含量。靛红(靛蓝二磺酸钠)能被高锰酸钾氧化,从蓝色变为黄色,从而指示终点。

2.仪器与试剂

(1)仪器。烧杯、量筒、200mL滴瓶、250mL容量瓶、10mL及25mL移液管、滴定管、研钵、漏斗、滤纸等。

(2)试剂。高锰酸钾、靛红、活性炭。①0.01mol/LKMnO4溶液:将1.58g高锰酸钾(KMnO4)溶于100℃沸水中,移入1000mL容量瓶,冷却后定容至刻度。②0.1%靛红溶液:称取靛红1g,溶于50mL浓硫酸(H2SO4)中,如难溶,可在水浴中加热到60℃,保持4h,然后稀释至1000mL。

3.操作步骤

称取捣碎均匀样品10~20g,用约150mL水移入250mL容量瓶中,充分振摇后加水至刻度混匀,用干燥滤纸过滤。吸取过滤后的样品液10mL于200mL三角瓶中,准确加入靛红10mL,蒸馏水30mL,用0.05mol/L()溶液快速滴定至黄绿色时,再缓慢滴定至明亮的金黄色即为终点。另取样品溶液10mL,加入活性炭2~3g,置水浴上加热搅拌约10min,趁热过滤,并用热水洗涤数次,于滤液中准确加入靛红10mL,蒸馏水30mL,同上法滴定。

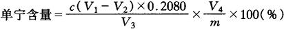
4.结果计算

式中 c——高锰酸钾溶液的浓度,mol·L-1

V1——滴定样品所消耗的高锰酸钾溶液的体积,mL

V2——样品中单宁被吸收后所消耗高锰酸钾溶液的体积,mL

V3——滴定时所用样品溶液体积,mL

V4——制成样品液的总体积,mL

m——样品的质量,g

0.2080——单宁的毫摩尔质量,g·mmol-1

随便看

 

离鸟网收录3541549条中英文词条,其功能与新华字典、现代汉语词典、牛津高阶英汉词典等各类中英文词典类似,基本涵盖了全部常用中英文字词句的读音、释义及用法,是语言学习和写作的有利工具。

 

Copyright © 2004-2024 vtrois.com All Rights Reserved
更新时间:2026/4/8 18:43:16