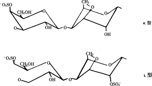
结构式:


卡拉胶的鉴别
1.试剂和溶液
1.1 乙醇 85%溶液。
1.2 氯化钾 2.5%溶液。
1.3 亚甲基蓝 1∶100溶液。
2.操作步骤
2.1 称取样品4g,加到200mL蒸馏水中,加热至80℃,不断搅拌直至样品溶解,用蒸馏水补充蒸发损失的水分,使溶液冷却至室温,变成半透明粘滞液体,并能产生凝胶状物。
2.2 取2.1溶液50mL,加入200mL氯化钾溶液(1.2),重新加热并充分混匀,移出冷却。用玻璃棒试样品,当出现脆性的胶体,说明是以k型为主的卡拉胶;出现柔软(弹性)胶体,说明是以Ⅰ型为主的卡拉胶;如果溶液不是胶体,是以λ型为主的卡拉胶。
2.3 取2.1溶液5mL,加入1滴亚甲基蓝溶液(1.3),产生纤维状沉淀。
2.4 测定按下述方法制得的样品的凝胶和非凝胶成分的红外吸收光谱。
称取样品2g,加入200mL氯化钾溶液(1.2),搅拌1h,静置过夜,再搅拌1h,移入离心管(如果扩散液太粘,不能移动,可用不超过200mL氯化钾溶液稀释),以接近1000r/min的速度,离心15min。
移去上层清液,残留物中再加入200mL氯化钾溶液(1.2),搅拌,再次离心处理。将以上两次上层清液合在一起,加入相当于清液体积2倍的乙醇溶液(1.1),使其凝结(注意保留沉淀物供以后使用),回收凝结胶,并用250mL乙醇溶液清洗。从凝结胶中压出过量的液体,在60℃下干燥2h,得到的样品是非凝胶成分(λ型卡拉胶)。
把以上保留的沉淀物加到250mL蒸馏水中扩散,在90℃下加热10min,移出冷却到60℃。按上述方法将混合物凝结回收,清洗并干燥,所得样品是凝胶成分(k型和Ⅰ型卡拉胶)。
将上述每种样品配制成0.2%的水溶液,在适宜的非粘性表面上(如聚四氟乙烯polytetrafluoroethlene)浇成0.0005cm厚(干燥层)的薄胶片,测定每张干燥薄胶片的红外吸收光谱。
卡拉胶有一切多糖具有的典型的强、宽谱段,范围是1000~1100cm-1。