网站首页  词典首页


请输入您要查询的字词:

 

字词 卵磷脂
类别 中英文字词句释义及详细解析
释义

卵磷脂


卵磷脂可从蛋黄、家禽脑干、新鲜羊脑、酵母中提取,但随着大豆制油工业的发展,现在几乎都成了大豆类卵磷脂(Phosphatides phos-pholipids)。

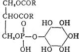
主要成分 由磷脂酰胆碱(卵磷脂)、磷脂酰乙醇胺及磷脂酰肌醇组成:

磷脂酰胆碱

磷脂酰乙醇胺

磷脂酸

磷脂酰肌醇

其中尚含不同数量的其它物质,如三甘油酯、脂肪酸和碳水化合物。精制级卵磷脂,按所用分馏级分离的类型,可含不同比例和组合的任何此类化合物。其无油型产品的大部分三甘油酯和脂肪酸已除去,含90%以上的磷脂,代表总磷脂络合物的所有的或一定的馏分。

大豆磷脂质中约含24%卵磷脂,约25%的脑磷脂,约33%磷酸肌醇。

性状 大豆卵磷脂为淡黄至褐色的透明或半透明的粘稠状物质,或白色至浅棕色粉末或颗粒,无臭或略带坠果类气味及滋味。纯品不稳定,遇空气或光线颜色变深,成为不透明。d41.0305g/cm3,碘值95。部分溶于水,但易成水合物形成乳浊液。无油磷脂溶于脂肪酸,几乎不溶于非挥发性油,部分溶于乙醇、易溶于乙醚、石油醚、苯及氯仿等,难溶于丙酮、醋酸酯(可溶于90%丙酮)。同一分子内具有疏水性的脂质成分及亲水性的磷酸根及碱。乳化作用强。毒性:ADI不作限制性规定(FAO/WHO,1985),GRAS(FDA,§184,1400,1985)。

质量规格(FAO/WHO,1980)

用途 用作乳化剂、抗氧化剂、浸渗剂、粘度调整剂。湿润剂等。其最大用途是用作食品添加剂,其次是作饲料添加剂。还用于医药、化妆品以及皮革、沥青的乳化剂。

所含的胆碱及肌醇属于维生素B族,有优良的营养作用。所含的脑磷脂具有抗氧化或金属螯合作用,甘油磷酸则有健全神经系统作用。卵磷脂有防治高血压作用。

在化妆品中可作为天然乳化剂。可配制膏霜、乳液。作为营养性添加剂配制护肤剂。还可用于睫毛油处理颜料用,同时可作为化妆品保湿添加剂。

国内生产厂 四川成都华西生化制品厂、广西化工研究所。

随便看

 

离鸟网收录3541549条中英文词条,其功能与新华字典、现代汉语词典、牛津高阶英汉词典等各类中英文词典类似,基本涵盖了全部常用中英文字词句的读音、释义及用法,是语言学习和写作的有利工具。

 

Copyright © 2004-2024 vtrois.com All Rights Reserved
更新时间:2026/4/9 6:22:06