网站首页  词典首页


请输入您要查询的字词:

 

字词 卷烟纸的检验
类别 中英文字词句释义及详细解析
释义

卷烟纸的检验


(一)取样

1.样本的采取

样本随机从批的件中抽取,每件只能抽出一个。按表8-2-1的规定抽取样本。

表8-2-1 样本的采取

2.试样的采取

去掉卷盘外部带有破损、皱纹或其他外观纸病的纸幅。切取长5~10m的纸条,按表8-2-2所示的取样方法,从总的纸条中,随机采取所需的试样。

表8-2-2 试样的采取

按表8-2-2采取的整张试样就是平均试样,平均试样的张数要足以满足采取试样的需要。

(二)定量测定

1.试样的温湿处理

为避免纸张含水率平衡滞后引起测试误差,可在温湿处理前进行试样的预处理,即将试样放在温度低于40℃,相对湿度不大于35%的环境中,例如硫酸相对密度(20℃)大于1.3951的硫酸干燥器中,预处理24h。如果试样的含水率含量低,需经吸湿达到平衡,则可以省去预处理。

试验时的标准大气应是相对湿度50%±2%,温度23℃±1℃。实验室内空气均匀循环,气流从顶部微孔进入,由地板上抽回。干湿球温度计精度为0.1℃。

将切好的试样挂起来,以便恒温恒湿的气流能自由接触到试样各面,直到含水率平衡。一般纸处理4h。

如在绝干或其他温湿条件下测定,报告结果应说明试样在称量时的条件。

2.仪器

(1)切样设备:实验用切纸刀或专用裁样器,裁出试样的面积与规定的面积相比,要求每100次中至少有95次的偏差范围在±1%以内。

如发现试样裁切精度未达到要求,应分别测定每一个试样的面积计算定量。

(2)天平:感量为10-3g。

(3)游标卡尺:精度为0.02mm。

称量时应防止气流对称量装置的影响。

3.方法

用实验用切纸刀或专用裁样器按卷烟纸的卷盘全宽切取5条300mm长的纸条,用天平一并称量,用游标卡尺测量纸条的长边及短边,准确至长边为0.5mm,短边为0.1mm,然后计算面积。如切样设备不能满足精度的要求,则应测定每一个试样的尺寸计算出测量面积。

4.计算

卷烟纸的定量,按下式计算:

式中 G——卷烟纸的定量,g/m2

m——试样叠的质量,g;

A——试样叠的面积,m2

a——每一张试样的面积,m2

n——试样的层数。

纸幅定量偏差,以%或g/m2表示偏差,按下式计算:

式中 Gmax——试样定量的最大值,g/m2

Gmin——试样定量的最小值,g/m2

G——试样定量的平均值,g/m2

S1——纸幅定量的偏差,%;

S2——纸幅绝对定量偏差,g/m2

S——纸幅各点定量的标准差,%;

Cv——纸幅定量的变异系数,%。

(三)抗张强度测定

1.原理

抗张强度试验仪在恒速加荷下把规定尺寸的试样拉伸至撕裂测其张力,同时记录断裂时的最大伸长。

2.试样的采取、制备和处理

(1)在卷烟纸卷盘上一次切取足够数量的试样。试样不允许有任何纸病。

试样两个边应是平直的,其平行度应在0.1mm之内,切口应整齐无任何损伤。

(2)试样应有足够的长度,这样夹试样时不会触及夹间的试样,通常最短长度为250mm。检验时夹距小于180mm时,检验报告中应注明所用长度。

(3)试样的温湿处理与本节(二)之1相同。

3.仪器

抗张强度试验仪:能够满足在规定的恒速加荷下,作用于试样,测定抗张强度和伸长。抗张力可在带状记录仪或一类似装置上记录为伸长函数。抗张强度试验仪应包括:

(1)测量和记录装置:断裂时抗张力的精度可达±1%和伸长的读数的精度为±0.5mm的仪器均可使用。抗张强度试验仪的有效测定范围必须在总量程的10%~90%之间。

对于伸长率低于2%的纸张伸长率的精密测定,用摆锤试验仪测定伸长不够准确,建议用带有电子放大器的记录仪或将一合适的伸长仪放在纸条上,来精确测量实际伸长。避免试样在夹子内滑动和其他的影响。

(2)加荷速度的调节装置:调节加荷速率使试样在20s±5s内断裂。

(3)两个试样夹:应将试样的整个宽度夹紧,不许滑动和损坏试样。夹子中心线应与试样的中心线同轴,其夹紧作用力的方向与试样长度的方向保持±1°的垂直。两夹子夹纸的表面或夹线,应保持±1°的平行。检验中也应保持在同一平面上。

(4)两夹子间距是可调的,应能调到所要求的试样长度但误差不得超过±1mm。

4.方法

(1)在试样温湿处理的标准大气下进行试验。

(2)检验测量装置和记录装置的零位及前后水平。

(3)调整上、下夹子间的距离,将试样夹在夹子内,防止用手接触夹子间的试验面积,试样上施加约98N·m预张力,使试样垂直地夹在两夹子间。

(4)先做预测试验,求出试样在20s±5s断裂的加荷速率。

(5)开始测定,到试样断裂为止记下所施加的最大作用力,需要时记录断裂时的伸长。

(6)卷烟纸的每个方向至少测定10条,这10条的结果应均有效。如距夹子10mm以内断裂者,应除去不记。

5.计算

分别计算和表示纸的纵、横向所得的结果。

(1)卷烟纸的抗张强度,按下式计算,取三位有效数字:

式中 S——抗张强度,kN/m;

F——平均抗张力,N;

Lw——试验纸条的宽度,mm。

(2)卷烟纸的断裂长,按下式计算:

注:如果仪器以kgf-m为刻度,公式为;

式中 Lb——断裂长,km;

F——平均抗张力,N;

S——抗张强度,kN/m;

G——定量,g/m2

LW——试验纸条的宽度,mm;

L1——夹子间的初始长度,mm;

M——夹子间纸条的平均质量,mg。

(3)抗张指数按下式计算,并取三位有效数字:

式中 Y——抗张指数,N,m/g;

S——抗张强度,kN/m;

G——定量,g/m2

F——平均抗张力,N;

LW——试验纸条的宽度,mm。

(四)伸长率测定

根据卷烟纸的抗张强度测定结果,可以计算试样平均断裂伸长,以mm表示,然后计算断裂时伸长对起始试样长度的百分数。结果取至一位小数。

(五)透气度测定

1.ISO方法

(1)原理:在一种规定的压力差条件下,在一定的时间内测量通过试样一定的表面积的空气容量。

(2)试样的采取、制备和处理:

①将试样切成一定长的试样12张。注意被测面上不能有折皱、裂纹和洞眼等外观纸病。

②试样的温湿处理与本节(二)之1相同。

(3)仪器:

①试样夹,或者若干试样夹平行排列。每个试样夹不得漏气,而且最好要有2cm2圆形供试验的表面积。

②装置:在试样两面之间产生一个稳定而可以调节压力差的空气流。通过试样的空气流方向应与最终产品一致,从外面到里面。

③压力计:适合测量约1kPa的压力差。

④适当的设备,用以精确测量通过试样的空气流。

(4)方法:

①从试样中取出一张试样插在试样夹内并测定在稳定的0.5kPa压力差时通过试样的气流q1

②同样测定在稳定的1.00kPa压力差时通过试样的气流q2

③再从试样中取出一张试样重复上述操作,并分别计算q1和q2的平均流量值。q1或q2两个测定结果之间的最大差不得超过其各自测定结果平均值的5%。如果在用q1和q2平均值时发现q2=4q1相差在5%内,那么可以认为气流量是和压力的减少成正比例。在这种情况下,在0.25kPa和1.00kPa之间的任何一个值都可以选择用作试验用的工作压力差。如果上述平均值不适用,则要用1.00kPa的工作压力差。

④用已选定的压力差分别对10张试样进行测定,记录通过每个试样的气流量。

⑤试样的测定面积为2cm2

(5)计算:

每张试样的透气度按下式计算:

式中 P——试样的透气度,cm3/(min·cm2·kPa);

q——通过试样的气流,cm3/min;

△p——试样两边压差;kPa;

S——受测试的试样表面积,cm2

2.肖伯尔法

(1)试样的采取、制备和处理:

①将试样切成100mm长的试样10张并标明正反面。注意被测面上不能有折皱、裂纹和洞眼等外观纸病。

②试样的温湿处理与本节(二)之1相同,并在这个大气中进行试验。

(2)仪器:

①透气度试验仪:采用符合下列要求的肖伯尔透气度试验仪:

该仪器包含一个夹持装置,这一装置确保2.0cm2±0.2cm2的试验面积。

夹持装置一侧处于实验室的标准大气中,另一侧与仪器其余部分相联,这一部分将在测试区内保持小而稳定的压差,并可准确测量排出气体。夹环采用低弹性的特殊橡胶密封垫,以防止试样上的测试区产生明显变形。

可以调节仪器测试区的压差,以便使下列两个压差△p保持规定的精度。

△p1=1.00kPa±0.01kPa

△p2=2.00kPa±0.01kPa

透气测试区空气流量的测量精度为100mL以下,体积误差为±1mL,大于100mL则为±5mL,仪器可测量最大气流量为1000mL。

②秒表:可精确到0.1s。

③量筒:可读准至测量精度要求的数值。

(3)方法:

①检查仪器的密封性:将仪器调至水平,取一薄胶膜夹于夹持器上,调节测试区恒定压力差至1.0kPa然后关闭排水阀。开动计时器计时,并注意观察仪器压差,在0.5h内压差不得降低。

②将处理后的试样夹在仪器的夹持装置上,在30s内将压差调节至1.00kPa±0.01kPa。参照表8-2-3选择好合适的测试持续时间。立刻测量透气试样的气流量。选择不同测定时间时,要以测定结果的读数偏差不超过2.5%为标准,测定时正反面各测定10个试样,取其算术平均值表示结果。

表8-2-3

(4)计算:

每张试样的透气度按下式计算:

式中 Ps——肖伯尔透气度,mL/(Pa·s);

V——测定时间内通过试样的空气体积,mL;

△p——试样两边压差;kPa;

t——测定时间,s。

(六)白度测定

1.原理

白度测定方法是以D65照明体、45/0照明观测条件测定卷烟纸蓝光定向漫反射因数R457(白度)的方法。

2.试样的采取、制备和处理

将试样切成100mm长的试样不少于10片,均从上面向上叠成一叠,其总厚度应达到反射因数不再随试样层数的增加而提高的程度。纸叠上下各衬一张试样加以保护,防止试样弄脏和受光照或热辐射。

3.仪器

(1)反射光度计(白度计)仪器应符合以下条件。

①入射光轴线与试样平面法线成45°±1°;

②反射光轴线与试样平面法线成0°~1°;

③入射光轴线与入射光线之间的夹角不超过8°;

④以试样中心为顶点的反射光束限制在半角17.5°的锥体之内;

⑤测试孔直径不小于20mm;

⑥仪器应能消除镜面反射;

⑦照射在试样表面的入射光应尽可能符合D65照明体的试样,其相对光谱功率分布具有与D65照明体相同的测定效果;

⑧仪器的光源、透镜、相应滤光镜和接受器相组合,给出有效波长457nm±2nm,半波宽44nm光谱功率分布特性,见表8-2-4。

表8-2-4 反射光度计的相对光谱功率分布

⑨仪器有调节入射光紫外辐射量的功能;

⑩仪器的线性误差在40%~90%白度测定范围内不超过0.5%。

(2)三级荧光标准白板:校准仪器紫外辐射量所需的白板,基体材料中加有相对稳定的荧光增白剂。

(3)三级无荧光标准白板:基体材料与三级荧光标准白板相同,但不加荧光增白剂。

(4)工作标准白板:不含荧光增白剂的釉面瓷砖。

(5)标准黑筒:反射因数不大于0.5%。

4.方法

(1)用标准黑筒和工作标准白板校准仪器。

(2)从试样叠上取下保护层,测试最上面一层试样的R457反射因数Rf,读数精确至0.1%。取下最上面一层试样放在纸叠底部,重复测试第二张试样,然后以同样方法依次测试不少于5张试样。

5.计算

根据需要求出试样正面Rf平均值,作为该试样白度值R457,精确至0.1%。

(七)不透明度测定

1.试样的采取、制备和处理

将试样切成100mm长的试样不少于10片,均从上面向上叠成一叠,其总厚度应达到反射因数不再随试样层数的增加而提高的程度。纸叠上下各衬一张试样加以保护,防止试样弄脏和受光照或热辐射。

2.仪器

(1)反射光度计:测定不透明度反射光度计的相对光谱功率分布见表8-2-5。

表8-2-5 反射光度计的光源、透镜、相应滤光镜和接受器

相组合给出的光谱功率分布Fp

(2)工作标准白板。

(3)标准黑筒:反射因数不大于0.5%。

3.方法

(1)从试样叠上取下保护层,测试最上面一层试样的内反射因数R,读数精确至0.1%。取下最上面一层试样放在纸叠底部,重复测试第二张试样,然后以同样方法依次测试不少于5张试样。翻过纸叠,重复上述操作,以测定试样反面的内反射因数R

(2)对已测试内反射因数R。。的试样,均单层背衬标准黑筒。分别测试各试样正反面的反射因数R0

4.计算

分别计算试样正面和反面R和R0的平均值。用下式计算正面和反面试样的不透明度R,以%表示。

如正反面不透明度之差大于0.5%,则分别报告正反面不透明度值。如正反面不透明度之差小于0.5%,则报告正反面不透明度的平均值,报告结果准确至0.5%。

(八)尘埃度测定

1.试样的采取

切取试样250mm长至少4张。

2.仪器

(1)照明装置:20W日光灯照射角应60°。

(2)可转动的试样板:乳白玻璃板或半透明塑料板,试样板面积为270mm×270mm。

(3)标准尘埃图片。

3.方法

(1)将一张试样放在可转动的试样板上,用板上四角别钳压紧,在日光灯下检查纸面上肉眼可见的尘埃,眼睛观察时的明视距离为250~300mm,用不同标记圈出不同面积的尘埃。用标准尘埃图片鉴定纸上尘埃面积的大小。也可采用按不同面积的大小,分别记录同一面积的尘埃个数。

(2)将试样板旋转90°,每旋转一次后将新发现的尘埃加以标记。直到返回最初的位置为止。

(3)按上述步骤测定其余试样。

4.计算

按下面的分组计算每一张试样正面每组尘埃的个数,将四张试样合算,然后换算成每平方米的尘埃个数,计算结果取整数。

组别尘埃面积

①>1.5mm2

②0.3~1.5mm2

③≤0.3mm2

卷烟纸的尘埃度nD,以个/m2表示,按下式计算:

式中 Z——全部试样正反面尘埃总数;

n——进行检查尘埃试样的张数;

B——卷烟纸的宽度,mm(一般为0.027~0.029m)。

(九)含水率测定

1.原理

卷烟纸的含水率测定是将卷烟纸在105℃±2℃下烘干至恒量时,所减少的质量与试样原质量之比,以%表示。

2.试样的采取

将卷盘外部的损坏层全部取下弃去,再至少去掉三层未损坏层。

将卷盘按横向切取至少厚5mm的试样层,切取75mm长的试样组条,注意不要使一叠试样中的纸页或一组试样中的纸条分开。

弃去每组试样条的上层和底层纸页,将余下的试样条合并在一起组成试样,并将不少于50g的试样装入容器中。若50g试样体积过大,可用较少试样,并应在试验报告中说明。

3.仪器

(1)分析天平:感量10-3g。

(2)试样容器:装试样及称量用,要求密封性好。

(3)干燥器。

(4)温度可以控制在105℃±2℃的烘箱。

4.方法

称取试样50g置于已烘干至恒量的容器中,打开容器的盖子,连盖一起放入105℃±2℃下的烘箱中烘干,试样也可以从容器中取出来摊开烘,容器和盖也在同一烘箱中烘干。当烘干结束后,应在烘箱内将容器盖好。如摊开烘,应将纸条放回容器中盖好。移入干燥器中,冷却30min称量,重复上述操作,直至两次称量相差不大于原试样质量的0.1%,即可以认为达到恒量。

5.计算

卷烟纸的含水率按下式计算:

式中 w——含水率,%;

m1——烘干前试样质量,g;

m2——烘干后试样质量,g。

(十)灰分测定

1.仪器和试剂

所有试剂均应为分析纯,水应为蒸馏水或同等纯度的水。

(1)分析天平:感量10-3g;

(2)250mL锥形瓶;

(3)50mL的酸滴定管,50mL的碱滴定管;

(4)称量瓶;

(5)0.5mol/L盐酸标准溶液;

(6)0.5mol/L氢氧化钠标准溶液;

(7)酚酞指示剂溶液:5g/L。

2.方法

称取试样2g(准确至0.001g),放入250mL锥形瓶中,注入少量蒸馏水,使纸充分润湿,加入0.5mol/L的盐酸35mL,在室温下充分搅拌至无气泡逸出为止,再加入5g/L酚酞指示剂2~3滴,用0.5mol/L的氢氧化钠标准溶液滴定至混合液呈微红色为止,记录下消耗的氢氧化钠标准溶液的毫升数。

3.计算

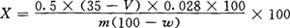
卷烟纸的灰分指标以氧化钙含量计算。

氧化钙灰分按下式计算:

式中 X——氧化钙灰分,%;

V——滴定消耗的氢氧化钠标准溶液毫升数,mL;

m——试样质量,g;

w——试样含水率,%。

取两份试样测定值的算术平均值报告测定结果。

(十一)阴燃性能的测定

1.原理

将一定宽度的卷烟纸,在阴燃仪中测定经引燃后在助燃筒中阴燃所达到的高度。

2.试样的采取、制备和处理

从盘纸上裁出长为150mm卷烟纸带,经100~105℃烘箱干燥5~10min,取出后在大气中放置30~40min使之平衡。

3.仪器与设备

阴燃性能测定仪。

4.方法

将纸条夹好在仪器上,用长320mm,功率20W(AC)的引燃器给试样引火阴燃10s±0.5s后,自动熄灭,记录纸条在助燃筒内燃烧的最大高度,以三次测定的算术平均值表示结果。

随便看

 

离鸟网收录3541549条中英文词条,其功能与新华字典、现代汉语词典、牛津高阶英汉词典等各类中英文词典类似,基本涵盖了全部常用中英文字词句的读音、释义及用法,是语言学习和写作的有利工具。

 

Copyright © 2004-2024 vtrois.com All Rights Reserved
更新时间:2026/4/8 10:45:32