网站首页  词典首页


请输入您要查询的字词:

 

字词 压弯工艺确定
类别 中英文字词句释义及详细解析
释义

压弯工艺确定


(一)弯曲坯料尺寸计算

1.坯料尺寸的计算原则

压弯件的坯料尺寸是指其平板坯料的长度,亦即其展开后的长度。根据中性层展开法,计算压弯件的展开长度就是计算弯曲件中性层的长度,再根据板料弯曲前后体积与中性层长度均保持不变的原则,实际所要求的弯曲件毛坯展开长度,应等于弯曲件各直边长度与弯曲区应变中性层弧长之和。

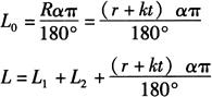
2.应变中性层位置R值确定

在实际生产中确定应变中性层的曲率半径时,通常先利用经验公式R=r+kt,求出中性层位置R值,然后再求出中性层的展开长度。式中k是与变形程度有关的系数,其值可由表9-8查得。

表9-8 弯曲角为90°时变薄系数η与k的数值(10、15、20钢)

由上式可知,中性层位置R值取决于板料厚度t、弯曲半径r及变形系数k值的大小,而k值又取决于弯曲系数K(r/t)的值,并制约于变薄系数η。

当板料未弯曲和弯曲变形量很小,即r/t>>4.0时,由表9-8可知η=1.0,此时R=r+t/2,即中性层位于板厚中心(图9-29a)。

图9-29 不同弯曲角度时的中性层位置

a.α<90° b.α=90° c.α>90° d.单角90°

随着弯曲的进行,r/t变小,η<1.0,R<r+t/2,中性层向弯曲件的内侧移动(图9-29b),且r/t愈小,中性层向内移量愈大,使弯曲角α愈来愈大(图9-29c)。

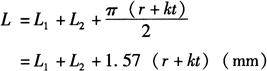
3.应变中性层展开长度L0的计算

若弯曲情况如上图9-29所示时,当确定中性层位置R值后,便可按照一般的数学方法,分别求出其中性层的展开长度L0,即

式中符号见图9-29中的标注。

4.毛坯展开整体长度L的计算

根据压弯件图找出变形区和非变形区,分别计算出要弯曲的变形区和各直线段L1、L2的长度。其中,首先应根据工件的最小相对弯曲半径rmin/t(即Kmin)与弯曲形式,查出变形系数k值,在计算出中性层位置R和展开长度L0的基础上,再利用公式L=L1+L2+L0,进一步计算出毛坯展开整体长度L。

5.不同弯曲件毛坯长度的计算方法

图9-29d所示的单角弯曲件是一最基本的弯曲件,计算其中性层展开长度L0和计算毛坯总长度的公式分别为

若α=90°,则

(二)弯曲回弹补偿措施

由于弯曲回弹会影响弯曲件的尺寸精度,因此在制定弯曲工艺和设计弯曲模具时,必须首先考虑减小回弹或补偿措施,从而提高弯曲件的尺寸精度。通常采取的措施是利用弹复规律,增大凸模压下量,或适当改变模具尺寸,使弹复后达到零件要求的尺寸。

1.改进弯曲工艺及局部结构

根据实践经验,选择回弹角最小的弯曲系数r/t=1~2。在工艺上采取校正弯曲代替自由弯曲,同时采用弹性模数大而屈服极限较低的材料进行弯曲,以减小回弹;冷作硬化的材料可先退火降低屈服极限和减小回弹,弯曲后再进行淬硬。或者在弯曲区压制加强肋,以增加弯曲件的刚度和塑性变形程度,如图9-30所示。

图9-30 在弯曲件上设置加强肋

a.三角形加强肋 b.直边加强肋

2.改进凸、凹模工作部位结构

在弯曲模具上根据预先估算或试验出的回弹量进行补偿,使弯曲件回弹后得到所需要的形状,如图9-31所示。图9-31a为V形弯曲件回弹的补偿,根据已确定出的回弹角,减小模具的角度作出补偿。

图9-31 回弹补偿措施

a.减小凸模角度 b.凸模内斜 c.凸模底弧面设置

图9-31b的U形弯曲件,既可采取使凸模向内侧倾斜△α回弹角补偿回弹,还可使凸模、凹模单边间隙小于材料厚度;当凸模将板料压入凹模后,板料的两侧都会向内贴紧凸模,从而实现回弹的补偿。

图9-31c则通过将模具的顶板及凸模底面制成适当的圆弧曲面,使零件底部平面在模具弯曲过程中同时弯曲成局部曲面,而当凸模、凹模分离后,工件的圆弧面则回弹为平面,两侧边也向内倾斜使回弹得到补偿。这种方法适合于弹性较大的材料。

3.采用拉弯法减少回弹

如图9-32所示,在拉力下弯曲能改变板料的应力状态,将中性层内侧压应力转为拉应力,使板料整个断面都处于拉应力作用下,在卸载后的内外层纤维回弹趋势一致,从而可减小回弹。

图9-32 用拉弯法减少回弹

a.模具拉弯 b.工作台旋转拉弯 c.模具与夹头同时拉弯

对于一般小型的单角或双弯曲件,可采用图9-33a所示拉弯模结构,将模具间隙减少,在凸模端部作出的凸台或将凹模倒角,均可使整个板厚断面上获得拉应力,将弯角处材料作变薄拉伸或使材料过量弯曲,以便取得较好的拉弯效果。

图9-33 拉弯模具结构

a.减少模具间隙 b.在凸模端部作凸台 c.将凹模倒角

(三)弯曲力的计算

在选用压弯机时,为使材料能在足够的压力下成型,必须计算弯曲件所需的压弯力,它是选择压力机工作压力的重要依据。在生产中常用经验公式计算压弯力,并根据不同的弯曲方式,选择不同的经验公式进行计算,如表9-9和表9-10所示。

表9-9 弯曲力的计算经验公式

注:F、F1、F2、F3均为弯曲力(MPa);B为弯曲件宽度(mm);t为弯曲板料厚度(mm);r为弯曲件内圆角半径(mm);L为凹模槽口两支点间距离(mm);σb材料抗拉强度(MPa);k为安全系数,一般取k=1.3;q为单位面积校正力(MPa),弯曲件材料和厚度不同,q值则不同,如表9-10所示。

表9-10 不同材料弯曲时的单位校正力q值(MPa)

(四)弯曲变形工序确定

生产中许多弯曲工件,因其形状的复杂程度、材料性质及精度要求的不同,常常不能一次弯曲成型,而大多采用两次或多次弯曲工序才能获得成型。所以在安排弯曲件工序时,应根据弯曲件形状的复杂程度、精度等级、生产批量、材料性能等因素综合考虑,并穿插中间热处理工艺等。

仔细分析而合理确定工序,不仅能简化模具结构的设计与制造,提高模具使用寿命及弯曲精度,还可以得到较高质量的弯曲零件,并从而提高弯曲工作效率。

例如,V形、U形、L形件等形状简单的弯曲件,可以采用一次弯曲成型,而Z形或四角形等形状复杂件,可采用两次、多次弯曲成型或成对弯曲成型后切成两件(图9-34b)。对于批量大、尺寸较小的弯曲件,也可以采用多工序的冲裁、弯曲、切断连续工艺成型,如图9-34c所示。

图9-34 复杂弯曲件的多工序成型安排

a.二道工序弯曲成型 b.成对弯曲成型 c.连续工艺成型

随便看

 

离鸟网收录3541549条中英文词条,其功能与新华字典、现代汉语词典、牛津高阶英汉词典等各类中英文词典类似,基本涵盖了全部常用中英文字词句的读音、释义及用法,是语言学习和写作的有利工具。

 

Copyright © 2004-2024 vtrois.com All Rights Reserved
更新时间:2026/4/9 14:05:40