【说明】原料场贮料量的多少,必须根据生产规模、原料种类及相应的贮备天数来决定。贮备的天数,木材原料大约是2~3个月,草类原料大约是7~10个月。
【公式】

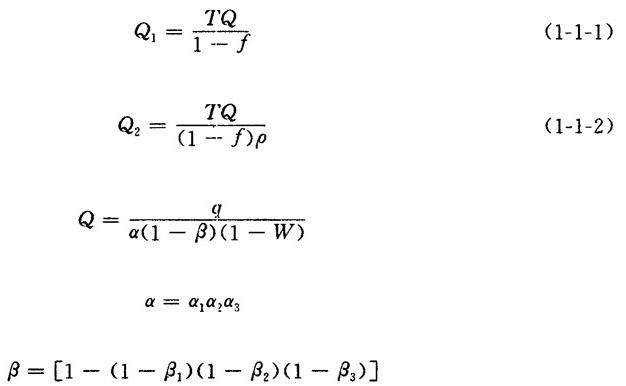
式中 Q1——对非原木原料场最大贮料量(t)
Q2——对原木原料场最大贮料量(m3)
Q——每天的需料量(t)
T——贮备天数(d)
f——贮存运输损失率(%)
ρ——原木的相对密度(水分为W时)
α——成浆率(%)
α1——洗涤后粗浆得率(%)
α2——筛选得率(%)
α3——漂白得率(%)
β——备料总损失率(%)
β1——剥皮损失率(指原木)(%)
β2——削片或漂白损失率(%)
β3——木片或草片筛选损失率(%)
W——原料含水量(%)
q——制浆车间每天(24h)生产的绝干浆量(t)