网站首页  词典首页


请输入您要查询的字词:

 

字词 参数的区间估计
类别 中英文字词句释义及详细解析
释义

参数的区间估计


正态总体期望μ的区间估计

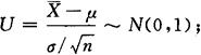
总体X~N(μ,σ2),简单随机样本为X1,X2,…,Xn,Xi~N(μ,σ2),

1.σ2已知

解题步骤为:

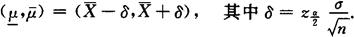
(1)构造统计量

(2)给出置信度1-α,对U应有

(3)代入U,经换算,对μ得到

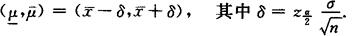
从而得出μ的置信度为(1-α)的置信区间为

对一次抽样的样本值,得出确定的置信区间为

2.σ2未知(与σ2已知类似)

用S代替σ

(1)构造统计量

(2)给出1-α,对T有

(3)代入T,经换算,对μ得

得出μ的置信度为(1-α)的置信区间为

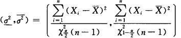
正态总体方差σ2的区间估计

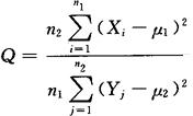
1.μ已知

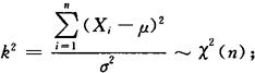
(1)构造统计量

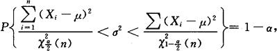
(2)给出置信度1-α,对k2

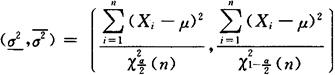
(3)代入k2,经换算,对σ2

从而得出σ2的置信度为(1-α)的置信区间为

2.μ未知,与μ已知类似(步骤省略)得出

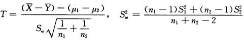
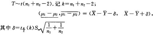
两正态总体期望差(μ1-μ2)的区间估计(只给出结果)

1.均已知

2.均未知,但

统计量

分别为X,Y的样本方差.

3.均未知,但n1,n2很大(一般说大于50),这时用代替,和已知的情况一样处理,μ1-μ2的置信区间

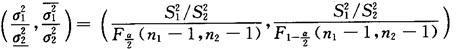
两正态总体方差比的区间估计

1.μ1,μ2均已知

其中

2.μ1,μ2均未知

(0-1)分布参数p的区间估计

在n很大(n≥50)的情况下,p的(1-α)置信区间为

随便看

 

离鸟网收录3541549条中英文词条,其功能与新华字典、现代汉语词典、牛津高阶英汉词典等各类中英文词典类似,基本涵盖了全部常用中英文字词句的读音、释义及用法,是语言学习和写作的有利工具。

 

Copyright © 2004-2024 vtrois.com All Rights Reserved
更新时间:2026/4/8 20:43:38