网站首页  词典首页


请输入您要查询的字词:

 

字词 反渗透
类别 中英文字词句释义及详细解析
释义

反渗透


当向溶液施加大于渗透压的压力时,水(溶剂)就会向与正常渗透现象相反的方向移动。反渗透与超滤的原理基本相同,但反渗透膜孔径较超滤膜小,截留粒子范围0.1~1.0nm,不仅能截留高分子物质,还能截留无机盐、糖、氨基酸等低分子物质,因此透过反渗透膜的物质几乎是纯水。由于原液和透过液的渗透压差较大,需要使用超过这种渗透压的压力才能进行反渗透,因此反渗透的操作压力通常在2MPa以上。海水淡水甚至需用5~10MPa的压力。超滤由于能透过低分子物质,渗透压相对较小,可在较低压力下(0.1~1.0MPa)进行。

(一)RO膜性能的评价

我国和国外生产的部分反渗透装置及其性能见表1-1-36和表1-1-37。与超滤膜一样,RO膜的性能包括产品纯度,膜的分离程度(截留率)及膜的处理能力(透过通量Jv)。

表1-1-36 我国研制的反渗透装置的性能

表1-1-37 国外部分反渗透装置的性能

评价RO膜性能的方法和因素有:

(1)过滤系数 包括纯水渗透系数Lp、溶质渗透系数P、反射系数σ。

(2)现象学系数 包括LP、渗透流系数LpD(=LDp)和LD

(3)膜的特性 包括膜内扩散系数DAM、分配系数K和含水率Φ。

一般用得最多的是过滤系数,而3种评价方法是互相联系的,并具有各自的意义,对操作条件也有特殊影响。

另一方面,RO膜一般需在高压下操作,膜易被压实,从而影响膜的性能。纯水透过系数Lp与操作压力Δp的关系如下:

Lp=Lp0exp(-αΔp)

Lp0为Δp=0时的纯水透过系数。压实或堵塞以及水解和氧化引起的化学变化往往使膜的性能劣化。膜随时间劣化的程度为:

Jv/Jv0=(t/t0)-m

式中Jv0是时间t0(一般第1小时)透过的通量,Jv为t小时后的通量,m为劣化系数,对高分离度CA膜m=0.01~0.1,m越小表明膜的寿命越长。

(二)反渗透过程的基本方程式与操作条件

1.各种操作条件对Robs和Jv的影响

RO膜性能主要是表观截留率Robs和体积通量Jv,主要影响因素归结起来有:

(1)膜 膜的材料、种类、制膜条件(组成、蒸发时间和温度、热处理温度等),以及非对称膜和均匀膜。

(2)处理物料 溶质种类和浓度。

(3)操作条件 温度、压力、供液速度、运行时间。

RO过程的基本方程式有:

Jv=k·ln(cM-cp)/(cF-cp) (2)

Jv=Lp(Δp-σ·△π) (12)

(25)

式中 Js——溶质通量

——膜的入口与出口外的溶液平均浓度

ω——溶质透过系数

(2)式表示高压侧溶液-膜间(境界层)的作用,(12)式和(25)式表示膜内各混合物和溶质的作用。实际的RO过程,反射系数多数场合为1,将σ=1代入以上公式分别进行无因次化,成为: (26)

式中——纯水通量,

P——溶质渗透系数,P=ΦiωRT≈(D/kL)

λ——相应于P的无因次传质系数,λ=k/P

r——相应于操作压力Δp的无因次渗透压,r=ΦiRT/Δp

θ——相对于的无因次溶质渗透系数,

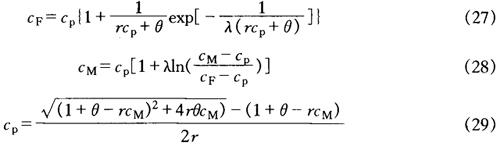
以上分别表示反渗透的操作条件、溶质和膜的典型特性。进液浓度cF、膜面浓度cM和透过浓度cp用以下公式表示:

求解可分以下两种情况:

①r=0,即制造超纯水或用于超滤时:

cM=cF{1+(1/θ)}/{1+(1/θ)e-1/λθ} (30)

cp=cF/{1+(1/θ)e-1λθ

②λ时,即不发生浓差极化时,

CM=cF

为了提高进液速度,需要增大无因次传质系数λ,为此就要逐渐降低膜面浓度cM,直至与进液浓度cF相等。另一方面,表观截留率Robs逐渐增大,而且通量Jv也逐渐增大。

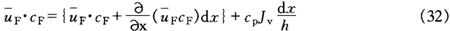
2.原液进料方向的速度和浓度的变化

假设进料方向(轴向x)的速度uF和浓度cF没有变化,仅注意单位透过面积的量。在装置内于轴向进行分离,以上参数当然就成为x的函数,在x方向uF减少,cF增加。

反渗透模型及物料平衡见图1-1-17。如图所示其下方用膜固定的高h,长1/h的平行板式通道,设道道截面的平均速度为,假设溶液的摩尔浓度一定,微小体积()中溶液的物料平衡用下式表示:

图1-1-17 反渗透装置的物料平衡

溶质物料平衡为:

由(26)式可将(31)式变成无因次式表示:

由(31)式,(32)式变为:

式中 X——装置的无因次长度,

△——装置长度和进料速度为1时的总透过流速,即回收率,

除特别情况外,由以上公式求截留率R(或平均截留率)和总透过流速△是困难的,一般要用数值计算法求解。经验表明,随着分离的进行(X→大),截留率减小,r增加即渗透压增大时,透过流速增加的比例减少。

(三)反渗透工艺的几种类型

1.一级一段法

在RO和UF中的一级是指进料液经过一次加压,二级则是经过二次加压,依次类推。在同一级中排列方式相同的组件组成一个段,一级一段,如图1-1-18所示,原水进入膜组件后,分离成浓水和纯水,这种方式水的回收率不高,如果将浓水部分返回水槽(循环),与原料水一起再次反渗透,可以提高水的回收率,这样浓水的浓度不断提高,但产水水质下降。

图1-1-18 一级一段反渗透流程

2.一级多段法

用反渗透作为浓缩操作,一次浓缩不能达到工艺要求时,可采用一级多段式反渗透系统,如图1-1-19所示。这种方式浓缩体积减少,浓度提高,而产水量相应加大。

图1-1-19 一级多段反渗透流程

3.两级一段法

例如海水除盐,要求将NaCl的浓度从35000mg/L降至500mg/L,除盐率高达98.6%时,如图1-1-20所示,采用两级一段式,分两步进行,第一步先去除90%的NaCl,第二步再从第一步出水中去除86%的NaCl即可达到要求。如果膜的除盐率低,而水的渗透性又高时,采用两步法较为经济,同时在低压、低浓度下运行,可提高膜的使用寿命。

图1-1-20 两级一段反渗透流程

4.多级(Cascade)法

一级反渗透不能达到预期分离效果时,可以将多台反渗透器串联,以提高分离效果。尽管一般RO分离能力大,串联使用不多,而且串联能耗也不少,但随着RO分离法多样化,串联成为增加分离效果的重要方法。串联反渗透浓缩系统是将第一级浓缩液作为第二级的供料液,而第二级浓缩液再作为下一级的供料液,由于各级透过水都向系统外直接排出,因此随着级数增加,水的回收率提高,浓缩液的体积减少,浓度增加。为了保证液体的一定流速,同时控制浓差极化,膜组件数目应逐级减少。多级反渗透系统如图1-1-21所示,理想的多级反渗透应具有以下条件:

图1-1-21 理想的多级反渗透系统

①混合点没有浓度差;

②各分离单位都具有相同的分离能力(各级分离系数1.05~1.10相等)。

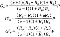
串联法回收比(循环率)R与浓缩和回收部分的分离系数α和β分别由下式表示:

R=c/(1-c)(c为浓度) (35)

α=Rp/RF>1 (36)

β=RF/Rw>1 (37)

设F、P、W分别为原料、浓缩物和回收物的流速,如图1-1-21所示,在(A)流动截面与(B)分离系统应满足混合物和分离成分的物料平衡。现以浓缩部分第n级为例说明如下:

设p为分离精制速度,Gn为第n级的供给速度,G′n和分别为上升和下降速度。

①混合物物料平衡:

②分离成分的物料平衡:

根据理想的串联条件:

Rn+1=Rn-1=Rn

由此可知浓缩部分由n级组成的多级系统,分离比提高至:

Rpn+1R。

由以上各式,可知

以上公式同样适用于回收部分。

(四)反渗透水处理系统的预处理过程

反渗透系统一般由预处理设备和膜装置组成,反渗透水处理系统装置如图1-1-22所示。在进入膜分离过程前对被处理料液采取的预处理过程包括物理、化学和光化学等方面,常用的方法见表1-1-38,预处理过程是反渗透膜分离效果好坏的关键,可以使用各种单元操作,也可组合使用几种方法,一般在反渗透装置前要设置孔径5~100μm的筒式过滤器,以确保反渗透膜的安全使用,因此有保安过滤器之称。

图1-1-22 反渗透水处理系统

表1-1-38 反渗透的预处理方法

对不同的膜组件,预处理所需达到的标准不尽相同,其中螺旋式和空心纤维式的组件要求较高,而板框式和管式组件要求相对低。控制指标常用JTU值(杰克逊浊度单位)和FI值(污染指数)。JTU值一般0.3~0.5。FI值是用直径47mm的Millipore公司的HAWPO47HA型膜过滤器测定的,该过滤器有效直径为42.7mm,在0.21MPa压力下首先测定最初500mL水的透过时间(t1),然后测定加压15min后的500mL透过时间(t2),按下式计算PI值(阻塞指数):

PI(15min,0.21MPa)=(1-t1/t2)×100% (38)

FI值一般0~6.61,计算公式如下:

FI(15min,0.21MPa)=PI/15 (39)

随便看

 

离鸟网收录3541549条中英文词条,其功能与新华字典、现代汉语词典、牛津高阶英汉词典等各类中英文词典类似,基本涵盖了全部常用中英文字词句的读音、释义及用法,是语言学习和写作的有利工具。

 

Copyright © 2004-2024 vtrois.com All Rights Reserved
更新时间:2026/4/9 4:41:43