网站首页  词典首页


请输入您要查询的字词:

 

字词 变压器防火
类别 中英文字词句释义及详细解析
释义

变压器防火


变压器是电力系统的重要元件之一,在工农业生产、人民生活和国民经济各个部门中应用十分广泛,电力系统要将发电厂所产生的强大电功率输送至很远的用户,必须将发电机的端电压升高,通过高压输电线路将电能输送至降压变电站或区域变电站,降压后再通过配电线路将电能送至用户区,再经配电变压器降压以供用户使用。变压器在电力系统中的应用如图4-3-11所示。

图4-3-11 变压器在电力系统中的作用

从图中可以看出,若没有变压器,就需将发电机输出的电功率直接输送至远离发电厂的

用户,这样强大的电流(600MW发电机定子电流为19200A,350MW发电机组定子电流为12500A)将在输电线路上产生很大的电压降落,并引起很大的功率损耗,致使大量电能消耗在送电线路上,且难以保证电压合格。一般来讲,当发电机的端电压为6~10kV时,最多只能把2~3MW的功率输送至15km远的用户。而制造电压高于35kV的发电机,目前在技术上还有许多困难。发电机机端电压目前多为10.5kV、15.75kV、18kV及20kV。因此,电能远距离输送就必须将电压升高(相应的电流就减少)。电压越高,输送的功率越大,输送的距离也愈远。当输电线路电压为110kV时,可以将50MW的功率输送到50~150km远的区域;当电压为220kV时,可以将100~200MW的功率送到200~300km远的区域;当采用500~750kV的超高电压时,可以将1000~2500MW的强大功率送到500~1500km远的区域,如500kV平武线,全长610km,设计输送功率为1000MW;直流500kV的葛(洲坝)-上(海)线,全长1044km,设计输送功率1200MW;前苏联1150kV特高压线路,1984年已经投入运行,准备将容量为5000~5500MW的强大功率,由埃基巴斯图兹输送至1900km以外的前苏联欧洲部分中央地区和乌拉尔地区。1990年前苏联1150kV线路总长度已达3600km,将西伯利亚、哈萨克斯坦及乌拉尔电力系统连成一个整体。待我国三峡水力发电工程投产时,将需要采用特高电压(750~1150kV)的输电线路向华东、华北及全国输送电能,最大输送功率将达到5000~7000MW。届时,全国大区电网将连成一个整体——全国电网。

随着电力系统的发展、输电线路电压的提高、输送容量的增加,对变压器的要求也越来越高,要求变压器的电压与输电线路相匹配,要求变压器性能更好、技术经济指标更先进,安全运行更可靠。

电力系统是一个有机的整体,电力系统中变压器的容量与发电容量必须配套,一般来讲每1kW的发电机容量,需要配备5~7kVA的变压器容量,才能够满足输、配、用的要求。由此看出变压器在电力系统中的地位是非常重要的。

变压器除了在电力系统中大量应用外,还广泛的应用于冶金工业、化学工业、通信系统、无线电工程等部门中。如电炉变压器、电焊变压器、整流变压器、仪表变压器等等。因此变压器的种类越来越多,结构也越来越复杂,对变压器的技术性能和安全可靠性要求越来越高。

(一)变压器的分类和结构简介

1.变压器的分类

(1)按相数分类,可分为单相和三相变压器,容量很小的变压器大多是单相的;容量较大的和用在电力系统中的大多是三相变压器。但是,巨型变压器受运输条件的限制,大多是制造成单相的(或单相自耦的),再连接成三相变压器组,如额定容量为250/250/40MVA、电压为550/242/20kV的单相自耦变压器,应用于平武工程的姚孟和双河站;国外有容量为1000/1000/300MVA、电压为500/275/63kV的单相自耦变压器,用于500kV的开关站或升压站。德国1975年已经生产出电压为1150kV,容量为1800MVA的单相大型变压器。三相变压器的容量也有很大的提高,目前1500MVA、765kV三相大型升压变压器(与1300MW汽轮发电机组配套)已经投入运行。国外有2000MVA、420/27kV的三相变压器与发电机组成发电机变压器组,升压至420kV,通过超高压输电线路向远距离输送电能,总重820t(铁芯和绕组重632t)。

(2)按绕组和铁芯的相对位置来分,可分为内铁芯式(芯式)和外铁芯式(壳式)两种。目前应用较广的是内铁芯式变压器。超高压、大容量及特殊用途的变压器也有采用壳式变压器结构的(我国500kV电网中采用有壳式变压器)。

(3)按冷却方式来分,有油浸风冷(ONAF)、油浸自冷(ONAN)、强迫油循环风冷(OFAF)或水冷(OFWF)、强油导向循环风冷(ODAF)、强油导向循环水冷(ODWF)变压器等。大型电力变压器多采用强迫油循环风冷或水冷式变压器,因为这种冷却方式的冷却效果最好,有利于大型变压器的冷却。

(4)按在电力系统中的作用来分类,可分为升压变压器、降压变压器、联络变压器、配电变压器及直流输电的换流变压器等。

(5)按变压器的具体用途来分,除了用于电力系统中传输功率的电力变压器之外,还有其它特殊用途的变压器,如电炉变压器、整流变压器、试验变压器、测量用变压器、互感器、调压器和电焊变压器等。

(6)按绕组的数量和结构不同,可分为双绕组、三绕组、多绕组、自耦和分裂变压器等。

①双绕组电力变压器每相芯柱上有两个静止线圈,三相双绕组电力变压器在电力系统中应用最广泛。

②三绕组变压器每个芯柱有三个静止的线圈,以两种不同的电压向系统供电,在电力系统中应用较广。多绕组变压器与三绕组变压器结构相同,差别仅为每个芯柱上的绕组数多于三个。

③自耦电力变压器的特点只有一个绕组,绕组的一部分(共用部分)既是一次绕组,又是二次绕组,一次绕组和二次绕组有着电路的联系。三相电力自耦变压器接成星形连接,中性点引出直接接地。为了消除三次谐波的影响,一般还增设有三角形连接的独立第三绕组。电力自耦变压器在电力系统中应用也十分广泛。

④分裂电力变压器有一个高压绕组(有两个并联支路组成)和两个低压绕组。两个低压绕组电压、容量相同,分别与高压绕组的两个并联支路进行磁耦合,称之为分裂绕组。由于分裂变压器高、低压绕组之间的穿越阻抗较小,但半穿越阻则比较大,而分裂绕组之间的分裂阻抗较大,故有限制断路电流的作用,而且能改善电动机自启动的条件。当分裂绕组一个支路发生短路时,另一个分裂绕组可有较高残压,仍能正常运行。因此在大型发电厂可采用此类变压器作升压变压器或厂用变压器。

(7)按调压方式可分为无激磁调压和有载调压两类。

(8)按绝缘介质不同分为油浸变压器(内注矿物油或聚氯联苯、硅油等合成油)和干式变压器(内充空气、六氟化硫气体以及树脂浇注等)。

2.变压器的结构简介

从变压器的基本工作原理可以知道,变压器主要是由铁芯及绕在铁芯上的原、副绕组所组成。当原绕组与交流电源接通时,原绕组有交变电流通过,因此,在铁芯中就会产生一个交变磁通。这个交变磁通在副边绕组内感应出交流电动势,若将副绕组与负荷相连接(如电动机或照明回路),副绕组就有电流通过,这样就把电能传给了负荷。改变副绕组的匝数,可以改变输出电压,从而起到了传输能量、改变电压的作用。变压器工作原理示意图如图4-3-12所示。

图4-3-12 变压器工作原理示意图

由变压器的工作原理可知,铁芯和绕组是变压器结构的主要部件。另外,为满足安全运行的要求,变压器还有油箱及冷却装置、绝缘套管、调压开关、散热器、储油柜、防爆管、呼吸器、净油器、气体继电器及温度测量装置等部件。图4-3-13为油浸电力变压器外形图,下面分别对各部件作简单介绍。

图4-3-13 油浸式变压器外形图

1-线圈及绝缘;2-铁芯;3-油箱;4-散热器;5-分接开关;6-低压套管;7-高压套管;8-气体继电器;9-防爆管;10-油面指示计;11-储油柜;12-吸湿器;13-温度计;14-滚轮;15-变压器台架;16-放油阀

(1)铁芯:铁芯是变压器的主磁路,交变磁场在铁芯中会产生感应电流即涡流,涡流不仅增大了功率损耗,还使铁芯发热,严重时可能烧坏变压器或引起火灾。为减少铁芯内的磁滞及涡流损耗,变压器铁芯通常用含硅量约5%,厚度为0.35、0.30、0.23mm等两面涂有绝缘漆的硅钢片叠制而成(0.5mm硅钢片已很少采用)。硅钢片分冷轧和热轧两种,冷轧硅钢片的电磁性能较热轧硅钢片优越(冷轧硅钢片有较优的导磁性能,有较低的比损耗),采用冷轧硅钢片能缩小变压器每单位容量的体积、减轻重量、降低损耗,特别是大型变压器,经济效益更为明显。如同为型号SFSL-120000/110的变压器,热轧硅钢片铁芯的空载损耗为144kW,短路损耗为631kW;而冷轧硅钢片铁芯的空载损耗为100kW,短路损耗为500kW。二者总损耗相差175kW,热轧硅钢片铁芯的年多耗电量113.75×104kWh,年多损失电费11.375万元。但应注意冷轧硅钢片具有显着的方向性,应用时应特别注意。

变压器铁芯的装配方法,一般采用交迭式,就是把裁成长条形的硅钢片用两种相反排法交错重迭,每层接缝错开,如图4-3-14(a)、(b)所示。这样装配的优点是每层磁路的接缝不在同一位置,气隙小,磁阻小,接缝处的涡流损耗小。目前,硅钢片已由直接缝改为全斜接缝的装配工艺,更有利于铁芯损耗的降低,如图4-3-14(c)所示。

图4-3-14 三相变压器铁芯迭装图

(a)直接缝铁芯第1、3、5、…、层;(b)直接缝铁芯第2、4、6、…、层;(c)全斜接缝铁芯

按照图示方法将硅钢片迭装,当硅钢片迭到一定尺寸后,用螺杆或夹件夹紧后即成为一个坚固的铁芯整体。在装绕组时,先把上面铁轭的钢片抽出。待套上绕组后再将铁轭铁片装回去重新夹紧。这种装配方法的主要缺点是装配工艺较为复杂。

为减少夹件中的附加损耗,减少发热,在新型变压器中,推广采用非磁性材料,如用环氧树脂玻璃粘带等绑扎铁芯,以代替螺杆紧固。在小型变压器中铁芯柱的截面是方形或长方形的,在大型变压器里为了充分利用绕组内空间,铁芯柱的截面是阶梯形的,容量越大的变压器,级数愈多。中等容量变压器的铁芯柱一般为7~9级;而一些巨型变压器的铁芯柱,它的级数可以多达几十级。如平武500kV工程中,姚厂500kV升压站采用法国单相自耦旁轭式变压器(250MVA/250MVA/40MVA)铁芯柱共33级,绕组内圆空间利用率更高。为了使33级各尖角的电场分布均匀,用绝缘包一层再用金属屏蔽并与铁芯用软铜片连起来,这样放电量可降至100pC。

铁轭截面有方形的,也有阶梯形的。当铁柱为阶梯形时,铁轭也应采用阶梯形截面,这样磁通在铁轭中分布才能比较均匀。

为了保证铁芯内部的可靠冷却,在较大的铁芯中,叠片之间设有纵向和横向油道,横向油道仅在巨型变压器中才设置。

电力变压器铁芯的型式多为芯式结构,少量也采用壳式结构。芯式变压器通常采用单相二柱式或三相三柱式铁芯。大容量变压器采用三相五柱式铁芯、单相单柱旁轭式铁芯和单相四柱(二柱旁轭式)式铁芯,以降低变压器高度,便于运输。

(2)绕组:按高低压绕组的相对位置不同,绕组可分为同心式和交叠式两种型式。同心绕组按绕制方法和导线材料不同又可分为圆筒式、连续式和螺旋式及纠结式等多种,变压器绕组分类归纳如下:

圆筒式绕组就是一个圆筒形线圈,这是同心式绕组的最简单形式,绕制时相邻线匝之间不留空隙,用于容量不大的变压器,一般用在每柱容量200kVA以下的变压器中;连续式绕组从外形看分是许多线饼沿着铁芯柱的高度均匀分布,且在每个线饼之间都有油槽,实际上在各个线饼之间并没有焊接头,整个绕组是用扁铜线连续绕成的,主要用于容量较大的高压绕组也用于电压较高的低压绕组;螺旋式绕组用于低压大容量绕组,其匝数很少,导线截面很大,因此要用多根导线并联起来;纠结式绕组绕法很多,一般是在两个线段内完成一次纠结连接,构成一个纠结单元,纠结式绕组广泛应用于大型变压器的高压线圈,当电压为220kV及以上.时,一律采用纠结式。当电压为110kV时,常采用纠结连续式或纠结式。

交叠式绕组用的不多,只在壳式变压器和电炉变压器等才采用这种绕组。

变压器各种绕组的外形如图4-3-15(a)、(b)、(c)、(d)、(e)所示。

图4-3-15 变压器各种绕组及器身油道导向示意图

(a)双层圆筒绕组:(b)连续式绕组;(c)螺旋式绕组;(d)纠结式绕组:(e)交叠式绕组;(f)双绕组变压器器身导向油道示意图

1-油通道;2-低压绕组下端部绝缘;3-铁芯;4-下夹件;5-低压绕组;6-高压绕组;7-高压下部角环;8-低压绕组上部端绝缘;9-高压绕组至低压绕组绝缘;10-上夹件与压板之间空隙;11-来自油冷却器的油管

变压器的绕组一般都是用电缆纸绝缘的圆形、矩形截面的导线绕制而成,匝间绝缘的厚度110kV应不小于1.35mm;220kV应不小于1.95mm;330kV应不小于2.45mm。匝间绝缘低于此厚度的为薄绝缘,应予以改造。法国550/242/20kV(ODAF)单相自耦变压器匝间绝缘厚度为2.7mm,加强段厚度为4.2mm。

为有利于绝缘,在高低压绕组之间,以及低压绕组与铁芯之间用绝缘套筒隔开。有的绕组匝数较多,需绕多层,为增强层间绝缘强度,在每层间用0.06~0.2mm的电缆纸隔开。

变压器绕组的引出线浸在油里,位于绕组和油箱之间,应加强绝缘。引线绝缘包扎应完好、无变形、变脆,引线长短应适宜,不应有扭曲别劲,引线绝缘厚度应符合要求。引线绝缘的厚度与电压有关,10kV以下应不小于3mm;35kV应不小于6mm;110kV应不小于20mm(在增加油间隙的情况下,可减少到10mm);220kV应不小于20mm。大电流引线(铜排或铝排)与箱壁间距离一般应大于100mm,以防漏磁引起发热。铜(铝)排表面应包扎一层绝缘,以防异物形成短路或接地,引线与各部位的距离应符合安全技术要求。引出线所用的绝缘材料,对于3~35kV级可采用胶木纸管、电缆纸和漆布;对于110kV级及以上用电缆纸绝缘,并用漆布包扎予以加强和保护。

(3)绝缘:变压器内导体之间和导体与地之间的介质结构称为变压器的绝缘。变压器的绝缘结构按其部位与功能分类如下:

(4)油箱和冷却装置:为了加强绝缘和冷却,将装好的变压器铁芯和绕组浸入变压器油中。变压器油有两个作用:①作为变压器的相与相、相与地之间的绝缘用;②散热作用,通过油在受热后的对流作用或强迫油循环的方法,把铁芯和绕组在变压器工作的情况下所产生的热量传给油箱壁或冷却器。

变压器的冷却装置可以有效地将变压器本身所产生的热量散到周围的空间或其它介质中,从而保证变压器各部分的最高温度和最大温升不超过规定值。

变压器的冷却方式主要有:油浸自冷式、油浸风冷式、强迫油循环风冷式、强迫油循环水冷式等。一些巨型变压器的结构上,在强迫油循环冷却方式中还采用了“导向冷却”技术,即利用油泵将冷却后的油直接送入油箱内的“导向油路”,可以直接对绕组冷却,冷却效果大大提高,这就是强迫油循环导向风冷或水冷的冷却方式。双绕组变压器强迫油循环导向冷却油道示意图见图4-3-15(f)所示。

(5)总装结构:任何一台变压器都是许多作用不同的部件组成的。属于变压器器身部分的有绕组、铁芯,属于变压器的辅助部分(组件)的有:油箱、高压套管、调压分接开关、散热器、储油柜(油枕)、防爆管、呼吸器、净油器、气体继电器及温度测量装置等。

变压器各部分的绝缘常用的电工绝缘材料有下列几种:

电缆纸:用作电磁线的绝缘、绕组层间绝缘和引线绝缘等。电缆纸的厚度一般为0.12mm,高压电缆纸有0.045,0.075,0.125,0.175,0.225mm等不同厚度。

电话纸:制成卷状,用作层间绝缘、引线和分接头绝缘。

黄漆布带:用作线圈绝缘,加强机械强度。

电工绝缘纸板:用作线圈间的垫片、板条、绕组的绝缘支撑、隔板、垫圈和放在绕组间的圆筒。

变压器油:灌注在油箱和充油套管中,作为绝缘和冷却用。

纸-胶木绝缘:制成管状和圆筒状,用作引线、绕组间的绝缘和绕组与铁芯间的绝缘。

胶木板:用作接头板、分接开关板等。

电瓷:用作变压器的套管和固定引线的部件。

斜纹棉带和缎带:用作绕组线匝和引线绝缘等的机械固定。

木材:用作垫块或支撑件。

浸渍用漆:绕组的浸渍物,常用的有甘油磷苯二甲酸漆等。

玻璃丝和石棉绝缘:用作电磁线的绝缘。

六氟化硫:不燃烧绝缘介质,是代替变压器油作为绝缘和冷却用的气体介质,对于变压器的防火防爆具有重要意义。

(6)变压器保护装置。为了保护变压器的安全,除装设继电保护装置以外,变压器本身还应有以下保护装置。

(二)变压器的发热、绝缘老化和变压器的寿命

1.变压器的发热和冷却

变压器在运行过程中,电流通过变压器的绕组和磁通在铁芯中交变,将在绕组和铁芯中发生功率损耗和电能损失,电能损失将转变为热能,使变压器的各个部分(绕组、绝缘、铁芯、油)温度升高。在油浸变压器中,铁芯和绕组的热量先传给油,再通过外壳、散热器散发到周围的介质中(空气、水中)。例如OSFPSL/220型、额定电压242/121/15.75kV、额定容量200/200/100MVA的自耦变压器,在额定负荷运行时,有功铜损为615kW,铁损为125kW,总损耗740kW,1h将有2664MJ的能量散发出来,从而使变压器各部分温度升高。

油浸式变压器特别是强迫油循环风冷或水冷变压器,冷却条件良好,低压绕组、铁芯和高压绕组的发热和冷却可以认为彼此无关,其中每一部分的发热可以看做为均匀物体的发热。假定用于物体发热的功率不变,则任一瞬间发热物体对周围介质的温升为

式中:τ——变压器绕组或油对周围介质(空气)的温升;

τi——物体的起始温升;

τs——物体的稳定温升;

T——发热时间常数,绕组一般为5~6min;变压器油一般为2.5~3.5h

当τi=0时(变压器刚投入运行时)

τ=τs(1-e-t/T)

当τs=0时,即当变压器负荷移去后(变压器停运后)

τ=τ:e-t/T)

变压器中每一发热体的温升、冷却均可利用上述三个公式计算。

变压器投入运行后或停止运行后,发热过程或冷却过程便开始,出现新的温升或温降数值,绕组对油的温升经20~30min可达到稳定值,油对空气的温升需经12~18h后才可达到稳定值。油与绕组相比较,发热和冷却都显得十分缓慢,升温和降温都比较慢,这是因为油的时间常数比绕组大得多。

油浸式变压器运行时,热量的散发大多以传导、对流及辐射的方式向外扩散,进行散热冷却。由于散热冷却条件不同,各部分的温度并不一致,相对于周围环境空气有不同的温度值,油浸式变压器各部分温度分部情况见图4-3-16。其散热过程如下:

图4-3-16 油浸式变压器各部分温度分布情况

(1)热量由绕组和铁芯内部以传导的方式传至导体或铁芯的表面,这部分温差通常为几度,图中以曲线1-2表示。

(2)铁芯和绕组表面的热量,以对流方式传至变压器油中,这部分温差约占绕组对空气温升的20%~30%,图中以曲线2-3表示。

(3)变压器油以对流方式,将热量传至油箱或散热器内表面,这部分温差很小,图中以曲线4-5表示。

(4)油箱和散热器内表面的热量经传导方式传至其外表面,这部分温差一般为2~3℃,图中以曲线5-6表示。

(5)热量最后由油箱和散热器外壁经对流和辐射散发至周围空气中,这部分温差较大,约占总温升的60%~70%,图中以曲线6-7表示。

为保证变压器绕组、铁芯、绝缘、变压器油等各部分温度在规定范围之内,必须装设可靠而有效的冷却系统。

小容量变压器多采用油自然循环空气自然冷却方式;容量超过10MVA的变压器,采用油自然循环强迫空气冷却方式;大容量变压器多采用强迫油循环风冷或强迫油循环水冷方式,实现油和水的强迫循环,使热油经过强风(或水)冷却器冷却后,再用油泵送回变压器,以提高变压器的冷却效果;对特大型容量变压器,为进一步提高冷却效果,还广泛采用导向冷却,即在高低压绕组和铁芯内部设有一定油路,使进入油箱内部的冷油全部通过绕组和铁芯内部流出,从而可带走大量的热能,提高冷却效果,降低热点温度,有效的提高散热效率,减小变压器的尺寸,保证变压器的安全运行。

2.变压器的温度分布

油浸变压器运行时,由于发热、散热、冷却条件不同,各部分温度和温升是不同的,图4-3-17为油浸式变压器在额定运行条件下,沿高度的温度的分布图,其中图4-3-17(a)为实际变化曲线图,图4-3-17(b)为分析计算曲线图。

图4-3-17 油浸自冷式变压器沿高度的温度分布图

(a)实际变化图;(b)分析计算图

1-绕组温度;2-铁芯温度;3-油温;4-油箱外表面温度;h-高度;θ-温度;τ-温升

图4-3-17(b)中AB、CD分别表示油对空气的温升和绕组对空气的温升,从底部到顶部,油温升和绕组温升呈线性增加,上层油的温升最高达55℃,油对空气的平均温升约为最大值的80%,即44℃,R点处,用电阻温度计测出统阻对空气的平均温升为65℃,即图中M点处。AB和CD相互平行,也就是说,在同一高度,绕组对油的温差是一常数,在图中用RM表示,其差值为21℃。因此,计算线组对环境的温升时,可用绕组对油的温升和油对环境温升相加。因为绕组最热处的温升,比上层油的温升高23℃,达到55+23=78(℃)。额定状态下环境空气的温度为20℃,所以绕组最热处的温度为78+20=98(℃),此温度为绕组能长期运行的最高温度。对强迫油循环冷却变压器,沿高度的温度分布与图4-3-17相似,只不过曲线的斜率较大。

3.变压器的稳定温升计算

变压器温升是变压器安全运行的重点监控的参数之一,在一定使用条件下,各部分温升的极限必须符合国家标准,变压器的各部分温度和温升分别用以下符号表示:

θo、θw、θa——油、绕组、空气(水)的温度;

τw-o——绕组或铁芯对油的温升;

τo-a——油对空气的温升;

τw-a——绕组(铁芯)对空气的温升。

利用下式可计算出油和绕阻的温度

τw-aw-o+τo-a

θoao-a

θwao-aw-o

利用绕组或油的最大温升可计算绕组和油的最热点温度,即

θo、m=θa+τ(o-a)m

θo、m=θa+τ(w-a)m

式中:τ(o-a)m——油对空气最大温升;

τ(w-a)m——绕组对空气的最大温升;

θo、m——上层最高油温;

θw、m——绕组最热点温度。

国家标准规定的变压器温升极限,是基于变压器在额定负荷和冷却介质温度(+20℃)下连续运行,使用年限约为20年,所对应的变压器绕组最热点温度为98℃。

对自然循环和一般强油循环变压器,绕组最热点温度比平均温度约高13℃,导向强迫油循环变压器的绕组最热点温度比平均温度约高出8℃。因此,对于自然循环、一般强油循环变压器和导向强迫油循环变压器,保证正常使用年限下,绕组平均温升极限为:

自然循环、强迫油循环冷却变压器 98-20-13=65(℃)

导向强迫油循环冷却变压器 98-20-8=70(℃)

变压器规程中规定了不同冷却方式变压器的顶层油温一般不应超过表4-3-17

的规定(制造厂有规定的应按制造厂的规定执行)。

表4-3-17 油浸式变压器顶层油温一般限值

按照规定的使用条件、环境温度(最高气温40℃、最高日平均气温30℃、最高年平均气温20℃、最低气温-30℃),各种冷却方式的油浸变压器在额定负荷下,其绕组、铁芯及变压器油的温升应不超过表4-3-18的规定。

表4-3-18 油浸式变压器的温升限值(℃)

*介质温度为30℃。

浸有不燃性合成绝缘液体且所用绝缘材料的耐热等级不是A级的变压器,其温升可以增加。

按照上表限值,当周围空气温度为40℃时,绕组的最高温度为105℃,油顶层温度为95C,对于A级绝缘,已是最高运行温度,一般应将运行温度限制在此温度以下。改进结构或改变冷却方式的变压器,应通过温升试验确定其负载能力。

在实际运行中,变压器负荷与额定负荷是不同的,实际负荷与额定负荷的比值为K=S/Sn,则油和绕组温升的稳定值可用下述公式计算:

(1)任意负荷下,顶层油的温升(最大值)为

式中:d——额定负荷下的短路损耗与空载损耗之比,约为2~6;

x——计算油温用的指数,对于自然油循环变压器,x=0.8~0.9;对于强迫油循变压器,x=1;

τ(。-a)m——任意负荷下顶层油的温升最大值;

τ(。-a)n——在额定负荷下,顶层油的温升最大值。

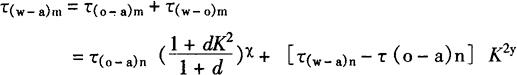
(2)在任意负荷下,绕组对油的温升最大值为

式中:y——计算最热点温升用的指数,它随冷却方式的不同而不同,一般可取y=X;

τ(w-o)m——在任意负荷下,绕组对油温升的最大值;

τ(w-a)n——在额定负荷下,绕组对空气温升的最大值。

(3)在任意负荷下,绕组最热点对空气的温升为

式中:τ(w-a)m——任意负何下绕组最热点对空气的温升。

4.油浸式变压器绕组最热点温度的瞬时值

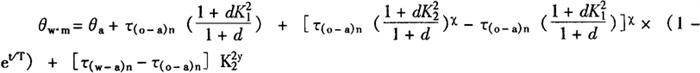
为确定变压器过负荷能力和计算变压器绝缘老化程度,保证变压器的安全经济运行,必须监测绕组最热点温度和温升,变压器最热点温度与冷却介质温度、起始负荷系数、过负荷倍数、过负荷时间等参数有关,计算公式为

式中:θw·m——变压器过负荷倍数为K2,t小时后,绕组最热点温度;

θa——冷却介质温度;

τ(n-a)n——额定容量时上层油温升(一般自然循环取55℃);

τ(w-a)n——额定容量时绕组最热点温升(假定取78℃);

K1——起始负荷系数,K1=起始负荷值/额定容量;

K2——过负荷倍数,K2=过负荷值/额定容量;

d——损耗比,一般取5,d=额定负荷时的短路损耗/空载损耗;

x——计算油温用的指数(自然循环为0.9,强油循环为1);

y——计算最热点温升用指数(一般自然循环取0.8);

t——负荷率为K2时的运行时间(h);

T——额定容量时,油-空气的发热时间常数(h,一般取3h)。

按上式计算出最热点温度与实际温度尚有差别,但可较近似地作为我们制定规程、运行调整和保证安全运行的依据。

5.变压器绝缘的老化对寿命的影响

变压器的绝缘经常处于较高温度下运行,运行温度通常在80~90℃之间,有些变压器经常在90~100℃的范围内运行。在较高温度下工作的变压器,绝缘是要逐步老化的。变压器绝缘的老化,就是绝缘受热或其他物理化学作用后逐渐失去其机械强度和绝缘强度的程度。变压器的绝缘老化主要是由于温度、湿度、氧气和油中分解的劣化物所引起的化学反应,其中高温是促使老化的直接原因。

一般来说,变压器绝缘劣化的程度是线圈的温度及其延续作用时间的函数。线圈温度越高,延续作用时间越长,变压器绝缘劣化速率愈大,绝缘的寿命愈短,变压器使用年限愈短。绝缘劣化的后期,绝缘枯焦,变黑,失去原有的弹性而变成酥脆,用手指稍加压力捺一下,便有裂纹产生,甚至绝缘会成碎片似的脱落下来。在这种情况下,线圈稍受振动或匝间略有摩擦,绝缘便损毁,形成匝间或层间短路。

变压器常用A级绝缘材料制成,这种材料在80~140℃的范围内,变压器的绝缘平均使用年限Z(预期寿命)与绕组最热点温度θm的关系,可用式下表示

Z=Ae-pθm

式中:Z——变压器的预期寿命;

A——常数,随绝缘材料而异,与很多因素有关,如纤维的原始质量,绝缘中的水分和游离氧等;

p——温度系数,在一定范围内它可能是常数,和纤维质量等因素无关;

θm——变压器绕组的热点温度。

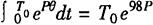
一般认为变压器绝缘的机械强度降低至15%~20%时,变压器的预期使用年限即告终止。因此,工程上通常用相对使用年限Z*和老化率v来表示变压器的老化程度,相对使用年限Z*和老化率v都与最热点温度有关。国家标准规定,在额定负荷和正常环境温度下,最热点温度的正常基准值为98℃,在这个条件下运行,变压器能获得正常使用年限20~30年,此时变压器的老化率假定为1。

由以上公式可知,变压器的正常使用年限为

Zn=Ae-p×98

任意温度θ下,变压器的使用年限Z与正常使用年限Zn之比,称为相对使用年限Z*

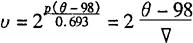
Z*=Z/Zn=e-p(θ-98)

相对使用年限的倒数即为相对老化率v,则

v=1/Z*=ep(θ-98)

为计算方便,用整数2代替e,则

上式中 1/0.693=lne/ln2

研究表明,▽为6℃左右,即绕组运行温度每增加6℃,老化加倍,这时预期绝缘使用年限缩短一半,此即绝缘老化的六度规则。根据公式可计算出各种温度下的老化率,计算结果列表于表4-3-19。

表4-3-19A级绝缘变压器在各种温度下的老化率

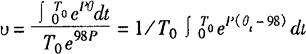
实际上,变压器在运行中因经常受运行方式、负荷大小、负荷波动和气温变化的影响,变压器绕组热点温度并非绝对维持98℃,而是经常在较大的范围内变化,在大部分时间内,绕组温度达不到此值,变压器的负荷能力并未得到充分利用。当然,如果将绕组最高允许温度规定过高,或者不规定绕组的最高温度,变压器可能达不到正常使用年限。为了解决变压器寿命的合理利用问题,可应用等值老化原则进行计算。即在一定时间间隔T0内,一些时间绕组的最高温度可能低于98℃,则另一些时间便可以高于98℃,只要变压器在温度高于98℃时间内多损耗的寿命,与在温度低于98℃时间内少损耗的寿命互相抵偿,则变压器使用年限便和恒温98℃时的使用年限相同。其等值老化可用下式表示

为了判断变压器在不同负荷下绝缘老化的情况,可计算变压器在某一段时间间隔内,实际所损耗的寿命对绕组温度维持恒定98℃时所损耗的寿命的比值,称为绝缘的老化率v,即

此式与v=1/Z*=ep(θ-98)意义相同,当v>1时,变压器老化速率大于正常老化速率,使用寿命缩短。比如A级绝缘绕组一直在环境温度40℃下工作,绕组最热点温度为105℃,高于98℃,老化率在2以上,则变压器的使用年限将减少到一半以下。当然变压器绕组工作在105℃的时间是很少的;如果v<1,则变压器负荷能力未得到充分利用,正常使用年限将增长,这样并不经济。因此,在一定时间间隔内,维持变压器的老化率接近1,是确定变压器负荷能力、加强运行监视及保障安全运行的关键。

随便看

 

离鸟网收录3541549条中英文词条,其功能与新华字典、现代汉语词典、牛津高阶英汉词典等各类中英文词典类似,基本涵盖了全部常用中英文字词句的读音、释义及用法,是语言学习和写作的有利工具。

 

Copyright © 2004-2024 vtrois.com All Rights Reserved
更新时间:2026/4/9 0:31:20