网站首页  词典首页


请输入您要查询的字词:

 

字词 可溶性糖的测定(费林试剂法)
类别 中英文字词句释义及详细解析
释义

可溶性糖的测定(费林试剂法)


1.方法原理

在沸热条件下,用还原糖溶液滴定一定量的费林试剂,将费林试剂中的二价铜还原为一价铜,以亚甲基蓝为指示剂,稍过量的还原糖立即使蓝色的氧化型亚甲基还原为无色的还原型亚甲基蓝。

2.仪器与试剂

(1)仪器。25mL和50mL碱式滴定管、5mL移液管、250mL三角瓶、200mL和250mL容量瓶、烧杯、漏斗、高速组织捣碎机、电热恒温水浴、分析天平等。

(2)试剂。①费林试剂甲:称取硫酸铜(CuSO4·5H2O,分析纯)34.63g溶于水中,稀释至500mL,过滤贮于棕色瓶中。②费林试剂乙:称取氢氧化钠50g和酒石酸钾钠(NaKC4O6H4·4H2O,分析纯)138g溶于水中,稀释至500mL,用石棉垫漏斗抽滤后待用。③转化糖标准溶液:称取9.5g蔗糖(分析纯)溶于50mL水中,加入6mol/LHCl(分析纯)5mL,在20~25℃室温下静置5d(或煮沸15min),使蔗糖转化,冷却后移入1000mL容量瓶中,加水稀释至1000mL(此为酸化的1%转化糖液)。测定时,取1%转化糖液25mL,放入250mL容量瓶中,加入甲基橙1滴,用1mol/LNaOH溶液中和后用水定容,即为1mg/mL转化糖标准溶液。④1%次甲基蓝指示剂:称取1g次甲基蓝(分析纯)溶于100mL水中。⑤乙酸锌溶液:称取21.0g乙酸锌[Zn(OAC)2·2H2O,分析纯]溶于水中,加冰乙酸3mL,稀释至100mL。⑥亚铁氰化钾溶液:称取10.6g亚铁氰化钾[K4Fe(CN)6·3H2O,分析纯]溶于水,稀释至100mL。

3.操作步骤

(1)样品提取液制备。取待测样品适量,洗净,用不锈钢刀将可食部分切成适当小块充分混匀后,按四分法取样。称取100g鲜样加入等量的水,放入组织捣碎机中捣成1∶1匀浆,有些材料匀浆比例可适当调整,多汁果蔬可直接捣浆。称取匀浆25.0g或50.0g(相当于样品12.5g或25.0g)放入150mL烧杯中,含有机酸较多的材料加0.5~2.0g粉状CaCO3调至中性(广泛试纸验试)。用水将样液全部转入250mL容量瓶中,并调整体积约为200mL。置80℃±2℃水浴保温30min,其间摇动数次,取出加入乙酸锌溶液及亚铁氰化钾溶液各2~5mL,冷却至室温后,用水定容,过滤备用。

(2)费林试剂标定。取费林试剂甲、乙各5mL,混合于250mL三角瓶中,放入玻璃珠4~5粒,由滴定管中滴入10mL 1mg/mL转化糖标准液。将上述混合液置于1000W电炉上加热,使其在2min左右沸腾,再准确煮沸2min(此时不离开电炉),立即加入1%次甲基蓝指示剂2~3滴,再由滴定管中(每4~5s1滴的滴速)滴加标准糖液,边摇边滴定至蓝色完全退尽,并有砖红色沉淀,溶液呈清亮为止。用准确滴定标准糖液的毫升数,乘以标准糖液浓度(mg/mL),即得10mL费林试剂所相当的糖的毫克数。

(3)还原糖测定。取费林试剂甲、乙各5mL于250mL三角瓶中,由滴定管加入待测糖液10mL,在电炉上加热至沸,加1%次甲基蓝指示剂2~3滴,再由滴定管中徐徐滴入待测糖液,边摇边滴定,直到溶液蓝色退尽,溶液呈清亮时为止,记下待测糖液的用量V(毫升数),重复滴定3次(每次相差应不超过用量的3%)。

(4)可溶性总糖测定。取已经制备的待测液100mL于200mL容量瓶中,加6mol/LHCl 10mL,在80℃±2℃水浴中加热10min,放入冷水槽中冷却后,加甲基红指示剂2滴,用1mol/L NaOH溶液中和,用水定容。以下步骤同还原糖测定。

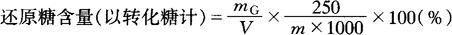
4.结果计算

(1)还原糖:

(2)可溶性总糖:

式中 m——样品鲜质量,g

mG——10mL费林试剂相当的转化糖质量,g

V——滴定时所用待测液体积,mL

A——稀释倍数

250——定容体积,mL

1000——由毫克换算为克

(3)非还原糖:

非还原糖(以蔗糖计)=(可溶性总糖-还原糖)×0.95(%)

式中 0.95——由转化糖换算成蔗糖的因数。

注:①全部滴定过程应在沸腾状态下进行;②还原糖及可溶性总糖也可用葡萄糖表示,费林试剂需另用葡萄糖测定,非还原糖用转化糖换算成蔗糖形式表示。

随便看

 

离鸟网收录3541549条中英文词条,其功能与新华字典、现代汉语词典、牛津高阶英汉词典等各类中英文词典类似,基本涵盖了全部常用中英文字词句的读音、释义及用法,是语言学习和写作的有利工具。

 

Copyright © 2004-2024 vtrois.com All Rights Reserved
更新时间:2026/4/5 10:49:13