网站首页  词典首页


请输入您要查询的字词:

 

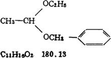
字词 叶青素
类别 中英文字词句释义及详细解析
释义

叶青素


化学名乙醛苄醇乙醇缩醛。由苄醇与乙烯基乙醚在酸性催化剂存在下缩合而成。

性质 无色液体,具有柔和的青香、花香香气;沸点78~80℃/3~4mmHg,折光指数1.4845,含量≥95%(GLC)。

用途 用于调配日化香精。

国内生产厂 上海香精香料公司松江分厂、轻工业部香料工业科学研究所、山东济南市轻工研究所。

随便看

 

离鸟网收录3541549条中英文词条,其功能与新华字典、现代汉语词典、牛津高阶英汉词典等各类中英文词典类似,基本涵盖了全部常用中英文字词句的读音、释义及用法,是语言学习和写作的有利工具。

 

Copyright © 2004-2024 vtrois.com All Rights Reserved
更新时间:2026/4/9 7:25:09