网站首页  词典首页


请输入您要查询的字词:

 

字词 吐温-20
类别 中英文字词句释义及详细解析
释义

吐温-20


化学名 聚氧乙烯失水山梨醇单月桂酸酯

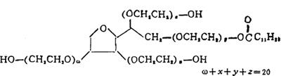
结构式

性能 琥珀色油状物,味苦。易溶于水、稀酸、稀碱、醇、醚、芳烃、氯化溶剂、酮类、乙二醇、吡啶等,不溶于动物油和矿物油类。有乳化、扩散、润湿等作用。

质量规格(旅顺化工厂)

皂化值,mgKOH/g45~55 羟值,mgKOH/g90~110

酸值,mgKOH/g≤2 HLB值16.7

含水量,%≤30

用途 用作化妆品的乳化剂,橡胶乳液的润湿剂,染料的溶剂,医药品和照相乳液的乳化剂,泡沫塑料稳定剂等。

国内生产厂 辽宁旅顺化工厂、天津助剂厂、辽宁沈阳油脂化工厂。

国外生产公司 美国Ashland Chem、Lonza、ICI、Witco等公司。

国外质量规格参考(美国ICI公司)

随便看

 

离鸟网收录3541549条中英文词条,其功能与新华字典、现代汉语词典、牛津高阶英汉词典等各类中英文词典类似,基本涵盖了全部常用中英文字词句的读音、释义及用法,是语言学习和写作的有利工具。

 

Copyright © 2004-2024 vtrois.com All Rights Reserved
更新时间:2026/4/8 2:49:15