网站首页  词典首页


请输入您要查询的字词:

 

字词 向量微分算子
类别 中英文字词句释义及详细解析
释义

向量微分算子


向量微分算子的定义

运用向量微分算子有下列表示:

(1)设u=u(x,y,z),则

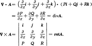
(2)设A=P(x,y,z)i+Q(x,y,z)j+R(x,y,z)k,则

(3)高斯公式和斯托克斯公式可表示为

随便看

 

离鸟网收录3541549条中英文词条,其功能与新华字典、现代汉语词典、牛津高阶英汉词典等各类中英文词典类似,基本涵盖了全部常用中英文字词句的读音、释义及用法,是语言学习和写作的有利工具。

 

Copyright © 2004-2024 vtrois.com All Rights Reserved
更新时间:2026/4/8 10:27:32