网站首页  词典首页


请输入您要查询的字词:

 

字词 向量的坐标表达式及其有关问题
类别 中英文字词句释义及详细解析
释义

向量的坐标表达式及其有关问题


向量的坐标表达式 设向量a的起点为M1(x1,y1,z1)终点为M2(x2,y2,z2),则

={x2-x1,y2-y1,z2-z1}.

其中,i,.j,k分别为x,y,z轴上与轴的正方向相同的单位向量,称为基本单位向量.

当起点在原点,终点为(x,y,z)时向量a为

a=xi+yj+zk={x,y,z}.

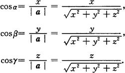
向量的长度公式 设向量a=xi+yj+zk,则

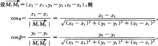
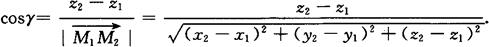
设M1(x1,y1,z1),M2(x2,y2,z2)则

向量的方向余弦 设α,β,γ为向量a与x,y,z轴的正方向夹角不超过π的角,则称α,β,γ为向量a的方向角.方向角的余弦称为向量a的方向余弦.

设a={x,y,z},则

方向余弦之间的关系 cos2α+cos2β+cos2γ=1.

随便看

 

离鸟网收录3541549条中英文词条,其功能与新华字典、现代汉语词典、牛津高阶英汉词典等各类中英文词典类似,基本涵盖了全部常用中英文字词句的读音、释义及用法,是语言学习和写作的有利工具。

 

Copyright © 2004-2024 vtrois.com All Rights Reserved
更新时间:2026/4/8 23:19:45