网站首页  词典首页


请输入您要查询的字词:

 

字词 向量间的乘积
类别 中英文字词句释义及详细解析
释义

向量间的乘积


两个向量a与b的数量积定义 a与b的数量积,记为a·b(或称点积),规定如下:

记号为向量a与b之间不超过π的角.

数量积满足下列规则

交换律:a·b=b·a.

结合律:λ(a·b)=(λa)·b=a·(λb).

分配律:a·(b+c)=a·b+a·c,

其中λ为实数.

数量积的计算公式 设a={x1,y1,z1},b={x2,y2,z2},则

a·b=x1x2+y1y2+z1z2

两个向量a,b的垂直充要条件是a·b=0或x1x2+y1y2+z1z2=0.

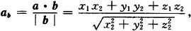
向量a在向量b上的投影ab

其中a={x1,y1,z1},b={x2,y2,z2}.

两个向量的夹角公式 设a={x1,y1,z1},b={x2,y2,z2}.则

两个向量a与b的向量积(或叉积)定义 两个向量a,b的向量积是满足下列条件的一个向量,记作a×b(又称叉积):

(1)a×b⊥a,a×b⊥b;

(2)|a×b|=|a||b|sin(a,b),即其模为以a,b为邻边的平行四边形的面积;

(3)a,b,a×b构成右手系,即以右手的大拇指的指向为a,食指的指向为b,则中指指向a×b.

基本单位向量i,j,k的叉积关系

i×j=k,j×k=i,k×i=j,

j×i=-k,k×.j=-i,i×k=-.j.

叉积的运算规则

a×a=0;

a×b=-b×a;

(λa)×b=a×(λb)=λ(a×b),λ为实数;

a×(b+c)=a×b+a×c;

(a+b)×c=a×c+b×c.

叉积的计算公式 设a={x1,y1,z1},b={x2,y2,z2},则

两向量平行的充要条件 a×b=0.

三个向量的混合积定义 a·(b×c)

|a·(b×c)|的几何意义 以a,b,c为邻边的平行六面体的体积.

三个向量共面的充要条件 a·(b×c)=0.

混合积的计算公式 设a={x1,y1,z1},b={x2,y2,z2},c={x3,y3,z3},则

混合积性质 a·(b×c)=(a×b)·c=-(a×c)·b=-(b×a)·c.

三个向量的向量积

(1)a×(b×c)=(a·c)b-(a·b)c.

(2)a×(b×c)+b×(c×a)+c×(a×b)=0.

随便看

 

离鸟网收录3541549条中英文词条,其功能与新华字典、现代汉语词典、牛津高阶英汉词典等各类中英文词典类似,基本涵盖了全部常用中英文字词句的读音、释义及用法,是语言学习和写作的有利工具。

 

Copyright © 2004-2024 vtrois.com All Rights Reserved
更新时间:2026/4/7 23:16:21