网站首页  词典首页


请输入您要查询的字词:

 

字词 吸尘罩
类别 中英文字词句释义及详细解析
释义

吸尘罩


3.8.1 安装吸尘罩的原则

安装吸尘罩的原则有:

(1)改善排放有害物的工艺和工作环境,尽量减少有害物的危害

(2)决定吸尘罩的形式

尽量靠近污染源并将其围罩起来。形式有隔间型、围罩型。如果妨碍操作,可以将其安装在侧面,可采用风量较小的槽型或桌面型。

(3)决定吸尘罩安装的位置和排气方向

研究粉尘发生机理,考虑飞散方向、速度和临界点,用吸尘罩口对准飞散方向。如果采用侧型或上盖型吸尘罩,要使操作人员无法进入污染源与吸尘罩之间的开口处。比空气重的气体可在下方吸引(见图3-97)。

图3-97 吸尘罩位置正确与错误对照

(4)决定开口周围的环境条件

一个侧面封闭的吸尘罩比开口四周全部自由开放的吸尘罩效果好。因此,应在不影响操作的情况下将四周围起来,尽量少吸入未被污染的空气。

(5)防止吸尘罩周围的紊流

如果捕集点周围的紊流对控制风速有影响,就不能提供更大的控制风速,有时这会使吸尘罩丧失正常的作用。

(6)推挽式

利用喷出的力量将污染气体排出,这时,只要吸入的气流比排出的气体少即可(见图3-98)。

图3-98 推挽式图示

(7)决定控制风速

为使有害物从飞散界限的最远点流进吸尘罩开口处,而需要的最小风速被称为控制风速(见图3-99)。

图3-99 控制风速图示

吸尘罩形状与种类,如图3-100~图3-104所示。

图3-100 围罩式吸尘罩

图3-101 隔间式吸尘罩

图3-102 侧面式吸尘罩

图3-103 上盖式吸尘罩

图3-104 网格式吸尘罩

坩埚炉吸尘罩如图3-105所示。

3-105 坩埚炉吸尘罩

3.8.2 控制风速一览表

控制风速一览表见表3-25。

表3-25 控制风速一览表

3.8.3 各种形状吸尘罩排气量的计算

(1)控制风速计算方法

根据污染物飞散方向、飞散距离、吸尘罩形状,正确计算污染物捕集点的吸入风速。这个风速称为控制风速。以此控制风速为标准求排气量的方法称为控制风速计算方法。以围罩式为例,其计算结果如图3-106所示。而侧面罩式计算如图3-107所示。

图3-106 围罩式吸尘罩排气量计算

注:为修正开口风速的波动,用本图计算出的风量乘安全系数K(K≥1)的数值为排气量。安全系数K根据吸尘罩结构确定。

图3-107 侧面式吸尘罩排气量计算

吸尘罩排气量=根据图3-107求出的Q×(控制风速)×(来自吸尘罩型号的系数)=Q×①×②。

根据图3-107求出的排气量乘以下系数:

1)控制风速;

2)吸尘罩型号系数。

控制距离与控制风速的关系如图3-108所示。

图3-108 控制距离与控制风速的关系

吸尘罩型号与系数:

1)自由空间外加式吸尘罩,系数为1。

2)同上式外加法兰盘吸尘罩,系数为0.75。

3)同上式外加法兰盘桌式吸尘罩,系数为0。5。

圆式槽式吸尘罩的风量计算如图3-109所示。

图3-109 圆型槽式吸尘罩风量计算(有阻碍)

吸入风量Q(m3/min)

(2)流量比计算法

①流量比法。吸尘罩排放污染气体时,它排出的是污染气体量Q1与来自周围的空气Q2之和Q3。即:

Q3=Q1+Q2

在该排气状态,为:

因此,从泄漏状态至安全排放为止,它都有变化。如果将此安全界限作为KL,即:

Q3=Q1(1+KL)

一般情况下,用下式表示:

Q3=Q1(1+mKL)

求出KL和m,再计算吸尘罩必要排气量的方法称为流量比法。

这种方法适用于污染量Q1很明确以及有热上升气流的场合。以下场合不能采用此方法,即,没有准确的污染量Q1、污染物扩散、有机溶剂蒸发等。因为,这些现象使污染量Q1非常小。

②高温散热源排气量计算:

式中 Q——必要排气量(m3/min):

Q——上升热气流发生量(m3/min);

m——泄漏安全系数(一般,m=3);

Ki——泄漏界限流量比;

△t——根据高温物体温度、周围空气温度,吸尘罩高度比计算出的温度差(℃)。

式中 N——污染源纵横尺寸比(γ)的倒数

A——污染源面积(A=E×L)(m2);

tm——高温物体温度(℃);

Z——假设高度(m)。

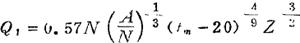
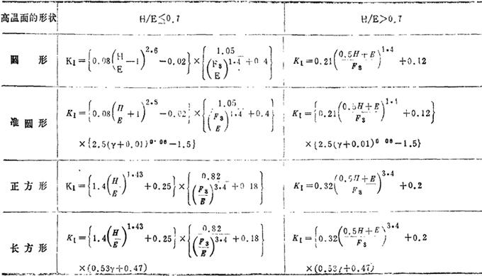
求K值公式(见表3-27)。

表3-27 求K值表

注:圆形和正方形时,L=E.

求△t值公式(见表3-26)。

表3-26 求△t值表

图3-110 求△t值图示

求Z值公式(见表3-28)。

表3-28 求Z值表

③推换式换气装置:

Q3=Q1{1+mKL

式中

Q3——必要排气量(m3/min);

Q1——推挽风量(m3/min);

m——泄漏安全系数(1.1~2.2)。

Q1=60D1L1V1

如果满足以下条件,可以采用上式,即:

F1

注:D1=1最理想

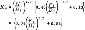
求KL值公式(见图3-111)。

图3-111 求K值图示

注:图中左:推挽侧;右:吸引侧

式中

H——推挽以及吸尘罩的距离(m);

F——吸尘罩法兰盘长度(m);

D——吸尘罩开口长度(m);

L——吸尘罩内侧长度(m);

V——风速(m/s)(Vo:外紊流);

Q——风量(m3/min)(Qg:气体发生量)。

④推挽式换气装置的性能及结构条件:

1)推挽式局部换气装置(开放槽用),见图3-112。

图3-112 开放槽用推挽式换气装置

a.如图144所示,A~A1以及B~B1V的最大值分别是0.3米/秒以上。如果风速V发生变化,其变化值V的最小值在0.3米/秒以上。

图3-114 推挽式断开装置

b.将吸出侧吸尘罩开口面积分成16个以上的等面积四边形,将其各个中心点的风速作为V1、V2……Vn,其平均值为时:

上述四边形的每边长在500毫米以下。

c.吹出风量与吸入风量

1.3Q1≤Q3≤20Q1

d.吸尘罩间的距离H与吹出吸尘罩D以及吸入吸尘罩的法兰盘宽度F3为:

2)推挽式均匀流换气装置(喷涂用),见图3-113。

图3-113 喷涂用推挽式换气装置

a.在被涂装物不在装置内的状态下,开动换气装置,将床面上1.5米高的平面分成16个以上的等面积四边形,将各个中心点的下吸风速作为V1、V2……Vn,其平均值为时,即:

b.在天井上设吹出口;

c.吹口面积必须在床面积的0.6倍以上;

d.不能让工人经常暴露在0.5米/秒以上的风速中。

3)推挽式断开装置(图3-114):

a.与开放槽用推挽式局部换气装置一样,风速V的最大值在0.5米/秒以上;

b.如果吹出口的平均风速为时,吹出口各部的风速Vi:

c.吸入风量与吹出风量

1.3Q1≤Q3≤20Q1

d.吹出口与吸入口的距离H与吹出口宽度D1以及吸入口法兰盘F3

H≤30D1

F3≥2D1

吹出侧吸尘罩不安装法兰盘F1

随便看

 

离鸟网收录3541549条中英文词条,其功能与新华字典、现代汉语词典、牛津高阶英汉词典等各类中英文词典类似,基本涵盖了全部常用中英文字词句的读音、释义及用法,是语言学习和写作的有利工具。

 

Copyright © 2004-2024 vtrois.com All Rights Reserved
更新时间:2026/4/8 16:38:27