网站首页  词典首页


请输入您要查询的字词:

 

字词 商品质量监督检验抽样方案设计
类别 中英文字词句释义及详细解析
释义

商品质量监督检验抽样方案设计


为了治理经济环境,整顿经济秩序,遏制假冒伪劣商品的流通,保护消费者的合法权益,各级监督部门大力开展商品质量监督检验工作,但首先遇到的问题是怎样制定抽样方案?国家目前尚未制定出适合市场商品的抽样标准,为此,在这只是讲怎样选择抽样方案。

(1)套用国家标准GB2828-87制定抽样方案。GB2828-87中的正常检查抽样方案符合上述的“尽量控制供应方的风险率α,和适当控制使用方的风险率β”的制订抽样方案的原则,而GB2828-87的特殊检查水平又符合上述的“采用小样本”的制订抽样方案的原则,因此,商品质量监督抽样方案可套用GB2828-87的正常检查抽样方案和采用特殊检查水平。并核对一下β值。

例:监督部门对某五金交电商场的电风扇进行抽查,批量N=100台,预定P0=1%,P1=10%,AQL=1.5%,IL=S-4,试确定一次抽检方案。

解:①确定抽样方案。在标准表2中,由N=100的行与IL=S-4的列相交得样本大小字码D。固求一次正常方案,采用标准表3。在表3中D行与AQL=1.5%的列,这行列相交得判定数组〔01〕,并在同行中得n=8。故所求的抽样方案为〔8;0,1〕。即抽取8台电风扇进行检验,如果全部合格则判定该批合格,否则判定不合格。

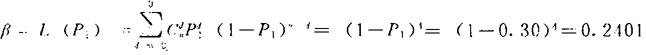
②核对β值。为了核对一下抽样方案对使用方的保护程度,可具体求出β值,即求P=P1=10%的批接收概率L(P1)

β=L(P1)=(1-P1)8=0.98=0.4305<0.5

这说明β值符合要求。

(2)根据菲利浦“SSS”标准制定抽样方案。菲利浦“SSS”标准确定样本大小n的经验公式为:

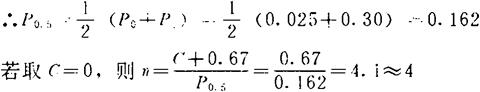
其中C为合格判定数,根据“采用小样本”的原则,应采用较小的C值,一般取C=0。而P0.5可由公式求出。P0称为合格质量水平(AQL),P1称为不合格质量水平(RQL),P0.5称为质量“控制点”。它的确定方法,可以根据商品的重要程度来规定。

表9-7

例:一批电子元件接受检验,规定P0=2.5%,P1=30%。

即所求的抽样方案为(4,0),即抽取4件电子元件进行检验,如果全部合格则判定该批合格,否则判定不合格。

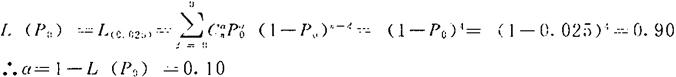
按方案(4,0)进行抽检,当不合格品率P0=0.025时,按二项分布近似计算接收概率。

故此方案比较合理。

随便看

 

离鸟网收录3541549条中英文词条,其功能与新华字典、现代汉语词典、牛津高阶英汉词典等各类中英文词典类似,基本涵盖了全部常用中英文字词句的读音、释义及用法,是语言学习和写作的有利工具。

 

Copyright © 2004-2024 vtrois.com All Rights Reserved
更新时间:2026/4/7 14:29:58