网站首页  词典首页


请输入您要查询的字词:

 

字词 喹吖啶酮红
类别 中英文字词句释义及详细解析
释义

喹吖啶酮红


别名 酞菁红、3501酞菁红、颜料酞菁红

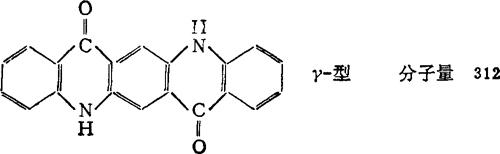
结构式

性能

质量规格(参考)

用途 主要用于塑料、树脂、涂料印花色浆、油漆、油墨、有机玻璃、橡胶等着色,亦用于合成纤维原浆着色。

包装贮运 内衬塑料袋的铁桶、纸板桶、胶合板桶包装,每桶净重20kg。

国内生产厂 上海染化十二厂。

随便看

 

离鸟网收录3541549条中英文词条,其功能与新华字典、现代汉语词典、牛津高阶英汉词典等各类中英文词典类似,基本涵盖了全部常用中英文字词句的读音、释义及用法,是语言学习和写作的有利工具。

 

Copyright © 2004-2024 vtrois.com All Rights Reserved
更新时间:2026/4/9 11:45:24