网站首页  词典首页


请输入您要查询的字词:

 

字词 回归分析法在造纸设备上的应用
类别 中英文字词句释义及详细解析
释义

回归分析法在造纸设备上的应用


某造纸机械厂生产的造纸关键部件2.5米直径的烘缸,曾连续3年被轻工业部评为优质产品。其中主要的技术指标,缸表面硬度值HB170-240,在实际生产中是一项关键项目。如果缸表面硬度值太高,除给生产加工中带来困难,又易在缸面上产生裂纹;反多缸表面硬度值太低,既影响加工的光洁度,又影响使用寿命。在实际生产中如何去控制原材料配比,合理地选用C(碳)当量的化学成分含量,是保证造纸机烘缸表面硬度值的一个基本条件。

目前,该厂采用数量统计的回归分析法,找出硬度值HB与铸铁C当量大小的相关关系,通过回归方程的计算,选出最合理的C当量值,从而保证烘缸表面硬度值的稳定,为生产优质产品提供可靠的根据。

一、条件

(1)铸造工艺规程基本相同,技术条件规定要求一致。(2)铁水浇注速度8T铁水/55秒。(3)炉前化学分析含碳量C=3.26。(4)铁水出炉温度1430℃,浇注度1320℃。

二、分析

1.数据来源

根据该厂1981年度铸造车间生产记录测定的数据(见表1)

表1

车间检测原始记录表

2.根据实测数据绘制出HB值与C当量的散布图(见图1)

3.将车间原始检测记录整理成表2

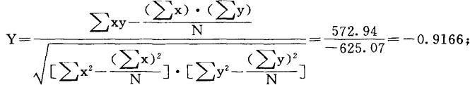
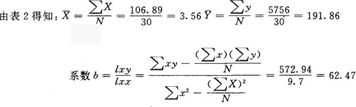
4.求相关系数Y

将表2数据代入公式得:

图1 硬度HB与当量大小散布图

2原始检测数据整理表

5.解回归方程

Y=a+bx

常数a=-b=191.82-62.47×3.56=-30.53

则,本厂生产的Φ2500烘缸的表面硬度值HB与其C当量大小的回归方程为:

Y=62.47x-30.53;

6.回归方程的显着性检验

已知:相关系数γ=-0.9166;

自由度N-2=30-2=28;

a=0.05。查相关系数表得

F(0.05,28)=0.361

由于 |0.9116|>0.361,

则,烘缸表面硬度值HB与其C当量大小的相关关系程度非常显着。

三、应用与结论

根据回归方程=62.47x-30.53,在实际生产中,就可以找出不同的C当量与表面硬度HB值的大小数值,其数值=62.53-30.53

表3

当量与硬度值HB大小的关系表

可从表3或图2中查出:

=62.53-30.53

该厂认为,在实际生产中只要能保证本例前面所提出的几个条件,从表3或图2中查出合理的C当量数值来,就能得到预想的烘缸表面硬度值HB。这个方法可以供铸造车间的工程技术人员、生产管理人员和操作者在生产中掌握运用。实践证明能够促进烘缸在铸毛坏生产工序中产品质量的稳定与提高。

图2

随便看

 

离鸟网收录3541549条中英文词条,其功能与新华字典、现代汉语词典、牛津高阶英汉词典等各类中英文词典类似,基本涵盖了全部常用中英文字词句的读音、释义及用法,是语言学习和写作的有利工具。

 

Copyright © 2004-2024 vtrois.com All Rights Reserved
更新时间:2026/4/8 10:35:46