网站首页  词典首页


请输入您要查询的字词:

 

字词 回归预测法
类别 中英文字词句释义及详细解析
释义

回归预测法


回归预测法包括一元回归预测法和多元回归预测法等,下面分别讨论。

一、一元回归预测法

为对某一量的未来状况作出预测,通常可在对其有影响的(或与其相关的)多个因素中,选择一个基本的、起决定作用的因素作为自变量,而把作为预测对象的变量视为因变量;自变量可用x来表示,因变量用Y来表示。如果用线性函数Y=α+Bx来表述二者的关系,就说是线性回归,否则,如果用某种非线性函数如Y=α+β或函数Y=αxβ来表现Y与x的关系。便说是非线性回归。对于具体问题,究竟用那种函数形式为好,需要酌情而定,一般要求,所用的函数应最能反映变量的真实关系。

现仅就线性回归说明这一方法。这是因为线性回归理论比较成熟,同时,有些非线性函数如Y=α+β又可以变换成线性函数形式。如令Z=,便有Y=α+βZ,这正是线性函数,可仿照线性回归方法进行处理。

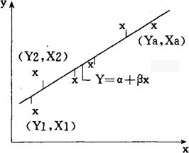
仍用Y1,Y2,…,Yn表示变量Y的观测值(但不一定是按时间顺序排列的),用x1,x2,…,xn表示与诸Yi对应的变量x的观测值;事实上也可以写成(Y1,Y1),(Y2,Y2)…,(Yn,Yn),它们一起作为变量Y和X的n组观测值,来确定直线函数Y=α=βX中的参数α和β的值,使得直线方程=+X为样本点(Y1,X1),(Y2,X2),…,(Yb,Yb)分布的最佳拟合如图表3-8所示,这里,称为参数α和β的估计值。

图表3-8

显然,这同配合直线的方法是极相似的。事实上,求参数的方法和计算参数的公式也都相似。只不过以前讲的是ti,这里是Xi

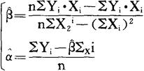
从而得到的计算公式:

下面用例子来说明线性回归方程的求法及其应用。

〔例〕某市电子工业公司所属14个企业中,各企业的年劳动生产率(Y)和年设备能力(X)统计数据如图表3-9所示。

图表3-9

图表3-10

从上图可见,用直线函数Y=α+βx来表现Y与X的关系是合适的。于是可通过建立直线回归方程=+x,作出预测。为此先计算,列计算表如下:

图表3-11

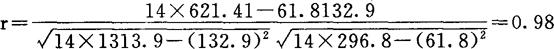
据上表可见,∑Yi=132.9,∑Yi=61.8,∑YiXi=622.81,∑X=296.8,n=14,将其代入公式,便得:

于是,所要求的回归方程为:

Y=3.1003+1.4481X

再根据此方程预测因变量Y的数值时,需先给出(或测出)X的值,然后将其代入方程求解。如假定该公司准备对某一企业进行设备改造,改造后的年设备能力可达9.24瓦/人。则据上述方程便可预测出该企业的年劳动率将为:

Y=3.1003+1.4481×9.2=16.4(千元/人)

以上我们介绍了线性回归方程的求法,以及在预测中怎样使用它。需要进一步说明的是,对Y与X实行线性回归,或用Y=α+βX来表现二者之间依存关系,具有很大的假定性(因为Y与X也可能不具有此线性关系)这样做的目的,是想通过X的变动来测定Y的变动,或是要用X来“说明”Y。但是,变量Y与X是否相关,相关程度为何仍然是未知的。为了对此种相关性进行考察,我们引进了相关系数。

相关系数常用r表示,其定义是:

r为介于-1和+1之间的数;r>0时,说明变量Y与X具有正相关,r<0时,说明Y与X有负相关,r=0,则称二者无关。r的绝对值越近于1,表明相关程度越密切。一般,只要r的绝对值大于0.85就说Y与X具有高度相关。

以上例为例,来计算劳动生产率Y和设备能力X的相关系数。计算相关系数r所需计算的各项(如∑Yi,∑Xi,∑Yi2等)数值在图表3-11中均已完成,只需将有关的计算结果代入公式中即可,则有:

根据这一结果,可以认为劳动生产率(Y)与设备能力(X)具有高度相关。

二、标准差与区间预测

以上介绍了一元线性回归预测基本方法。接下来我们引入标准差的概念,利用它还可进行区间预测。

我们知道,根据Y对X的回归方程式=+X,只要将X的值代入,就可以求出变量Y的预测值自然地,如果用X的样本观测值X1,X2,…,X1代入其中,又可以求出Y的样本观察值Y1,Y2,…,Yi的估计(预测)值,记为,…,。一般说来,由于因变量Y还受自变量X以外的其他因素的影响,诸Yii之间常常存在着偏差,即Yii常常是不等于0。为了衡量此种偏差的程度,我们令:

为误差平方和∑(Yii)2的平均值的开平方,我们称其为标准估计误差,简称标准差。显然,>0,而且其数值大小,体现了偏差的程度,也反映回归方程的性能。

再以前例为例来计算。我们可先将X的样本观测值分别代入回归方程式=3.1003+1.4481X,求出Y的样本估计值。如将Xi=2.8代入,就可求出=3.1103+1.4481×2.8=7.15,以此类推。然后,再按公式的要求计算出所需的数值,详见图表3-12(表中第三栏数字即为Y的样本估计值)。

图表13-12

据上表知,∑(Yii)2=2.0067,而n=14,这样,代入公式便得:

利用标准差便可进行区间预测。我们用Y表示预测时期变量Yf的真值,用f表示用某种方法计算出Yf的预测值。根据统计学原理可知:

(1)Yf值在f的一个标准差(±)范围内,即在〔ff+〕之间的概率为68.7%。

(2)Yf值在f的二个标准差(±2)范围内,即在〔f-2f+〕之间的概率为95.45%。

(3)Yf值在Yf的三个标准差(±3)范围内,即在〔f-3f+3〕之间的概率为99.73%。

例如,我们曾求出设备能力为9.24瓦/人,企业的年劳动生产率为16.4(千元/人)。

亦即f=16.4。那么,我们就可以说,设备能力为9.2(千瓦/人)时企业的年劳动生产率在〔16.4-2,16.4+2〕的概率为95%。或者说,该企业的劳动生产率有95.45%的可能,在

〔16.4-2×0.3785,16.4+2×0.3785〕即在15.643~17.157之间。

三、多元线性回归预测法

为了更准确地预测出某一量的未来水平。往往只用一个自变量来说明预测变量是不够的,而应用时考虑多个因素对预测变量的影响,即进行多元回归。譬如,要更准确地预测家俱量的未来需求水平,就可以同时考虑新建住房面积、新婚户数、居民货币收入、以及价格等因素。这样,可以从不同侧面对预测变量的可能变动加以反映。

多元回归也有线性和非线性回归之分。但最常使用的是多元线性回归方法。多元线性回归的回归方程式可一般表示为:

Y=β01X1+…βkXk

式中,Y为因变量,X1,X2,…Xk为k个自变量,(注意:且不可将此记号同一元回归场合的样本值相混淆),β,β1,…,βk为参数。

进行多元线性回归的主要问题,仍在于利用各个变量的样本观测值,求参数的估计值,建立起回归方程。其基本过程与一元回归是类似的。下面仅以二元线性回归为例,说明回归方程的求法。

二元线性回归的方程式为:

Y=β01X12X2

利用最小二乘法将可证明,β2,β1,β2的估计值12可由下面的三元一次方程组解出。

〔例〕为对某手表公司的销售额(Y)作出预测,考虑以营业人员数(X1)和所支出的推销费用(X2)为自变量。并用线性函数Y=β1X12X2来表现三者的依存关系。图表13-13为各变量的统计数据(观测值0在该表的后半部分列出了求参数估计值时所需计算的各项结果。

图表13-13

据上表可见,∑Y1=2252,∑Xi1=2432,∑i1=1406,∑Y1Xi1=689492,∑ii1=397.385,∑i1i2=322943,∑X=744.312,∑Xi22=218056,n=8。将这些数据代入公式得:

2252=80+2432β1+15062

689492=24320+7443121+322943β2

397.385=14060+322943β1+218056β2

解此方程组就可得到0=-98.2457,1=0.6396,2=1.0537,从而,回归方程为:=-98.2457+0.6396X1+1.0537X2

该方程可称为是,手表销售额(Y)关于营业人员数(X1)和推销费用(X2)的二元线性回归方程。当用其预测时,只需将同时期的X1和X2的值代入,计算出该时期的。如假定该公司计划1994年增加营业人员,总数可达310人,同时将推销费用增加到250万元,那么,该年该公司的销售额将为:

1984=-98.2457+0.6396×(310)+1.0537×(250)=363.45(亿元)

在多元线性回归场合,为考察每个变量与因变量的相关程度,可分别计算各自的偏相关系数。然而,更为重要的是计算复相关系数,因为它可以考察全部自变量一起与因变量的相关程度。从而可从总体上鉴定回归方程的性能。

复相关系数一般用R表示,其定义是,

式中,i为按回归方程计算的Yi的估计值,(i=1.2,…,n)。现结合上例说明复相关系数R的求法,见图表13-14。

图表13-14

据上可得知,∑(Y1i)2=16.43,∑(Yi)2=4818,从而有:

这表明,所用的两个自变量却与因变量有较密切的相关,用这两个变量建立的回归方程性能比较好。

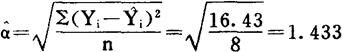
对于这个例子,我们也可进行区间估计。首先,据图表13-14可计算出标准差

而已求得1994年的预测值为f=363.45(亿元)。那么,则有:

Yf±2α=363.45±2×1.433=363.45±2866

从而得95.45%的置信区间为:

〔360.58,366.32〕

即,该公司1994年的销售额Y1,有百分之九十五以上的可能,在360.58亿元至366.32亿元之间。

随便看

 

离鸟网收录3541549条中英文词条,其功能与新华字典、现代汉语词典、牛津高阶英汉词典等各类中英文词典类似,基本涵盖了全部常用中英文字词句的读音、释义及用法,是语言学习和写作的有利工具。

 

Copyright © 2004-2024 vtrois.com All Rights Reserved
更新时间:2026/4/7 2:01:15