网站首页  词典首页


请输入您要查询的字词:

 

字词 固体饮料的基本特性
类别 中英文字词句释义及详细解析
释义

固体饮料的基本特性


(一)流动性

固体饮料在输送时经常发生附着,凝聚等现象,因此在输送固体饮料时往往产生流动性的问题。为了改善流动性需要减少粉末饮料的水分含量,或进行造粒和添加防固化剂。

(1)静止角 静止角(Angle of repose)又称堆积角,是表示粉体食品流动性的最一般特性,堆积角30°以下时流动性最好,30°~45°时中等,45°以上时凝聚性加强,流动性变差。粉粒体的大小是影响固体饮料静止角的重要因素,随粒子变大静止角成正比例减小,流动性变好。

(2)压缩度 压缩度C可用下式表示:

式中 ρc——压实密度

ρb——松散密度

一般速溶咖啡的压缩度为30%~35%,脱脂乳粉压缩度25%~30%,全脂乳粉压缩度40%~50%。压缩度20%以下时,流动性变好,容易从料斗、旋风分离器中流出,而压缩度超过40%的粉粒体,则不易排出。粒子直径大时,压缩度变小,流动性良好。如果将固体饮料粉末造粒,可降低压缩度,提高流动性。

(二)固体饮料的热特性

固体饮料的形状因干燥方法而有所不同,冻结干燥、喷雾干燥的粉末固体饮料为多孔性结构,热特性值随孔隙率而变化。固体饮料的生产离不开加热和冷却的传热操作,因此必须了解固体饮料的热特性。

(1)比热容 固体饮料的热特性主要有热导率和比热容,比热容为粉粒和媒体各自性质的平均值。设粉粒比热容cs,媒体比热容cg质量分别为ms、mg,则比热容c为:

式中m可用粉粒体积比Φ或空隙率ε表示:

式中 ρs——粉体粒子密度

ρg——气体密度

(2)热导率 粉粒体的热导率可以通过粉粒体填充层传热特性进行研究,包括:①固体接触传热;②固体内传导率;③空隙间辐射、导热;④固体面向辐射传热;⑤接触面传热,其中①、②、⑤为串联,③、④为并联导热。一般粉体的热传导根据粒子的集合和充填状态而变化,粉体系热导率λ可以简单地用固体部分的热导率λs和媒体部分的热导率λg合成表示,单位体积的热导率可用下式表示:

或λ=(1-ε)λs+ελg s>10λg,ε<30%)

(三)固体饮料的粒度

固体饮料的最基本特性,包括溶解性、流动性和填充密度都受粉粒体的粒度分布影响,另外,粉体饮料的变质是由空气的氧化所致,其氧化速度与粒径成正比,因此固体饮料的粒度是重要的物性。固体饮料含糖多,容易吸湿和凝聚。固体饮料中的脂肪成分在常温下也会黏附。

根据横坐标为粒子直径(μm)、纵坐标为质量频度(%/100μm)作出的速溶咖啡粒度频度分布曲线可知,固体饮料通过造粒或添加乳化剂等,使其速溶化后,粒度分布范围变广,同时由于造粒,小粒粉体消失,频率分布曲线有向大粒子移动的倾向。

(四)固体饮料水分活性与安全保藏水分含量

(1)水分活性(Aw) 水分活性是水分热力学的活动度,一般可通过蒸汽压法或一定温度下平衡质量测定法,按下式求出:

Aw=p/p0=RH/100

式中 p0——一定温度下纯水平衡蒸汽压

p——同温度下系统中水的平衡蒸汽压

RH——相对湿度(%)

纯水(水分100%)p=p0,Aw=1.0。

无包装的干燥食品容易吸湿,从而引起变色(褐变)、蛋白质分解等物性变化,以及发霉等的质量劣化。过去常将固体饮料的水分含量(W)作为控制指标,近年来Aw作为管理指标,愈加显得重要,而且较为合理。根据变质速度与水分活性Aw的曲线,以单分子层吸收水分量Wm为界限,当Aw低于Wm时,固体饮料以脂肪、色素类、蛋白质的氧化而引起的变质为主。相反,当Aw大于Wm时,多发生脂肪的水解、非酶褐变以及酶活化产生的变色、退色和蛋白质分解作用。Aw高的制品,霉菌、酵母和细菌易作用。单分子层吸收水分量Wm根据食品的种类而不同,一般在2%~10%范围内,应根据不同干燥方法获得的制品水分含量,进行质量控制。例如冻结真空干燥制品水分50%左右,首先应注意防止脂肪氧化和变色。

图2-6-1为W-Aw曲线,图2-6-2为吸收等温线。按Aw范围,分为三部分,即A区单分子层吸收水,B区多分子层吸收水和C区毛细管凝缩水。根据系统中水的存在形态,WAw曲线各不相同,一般可分为以下4种类型:

图2-6-1 水分含量(W)-水分活性(Aw)曲线

图2-6-2 吸收等温线

①淀粉类单分子层吸收水分量Wm约6%,此时的Aw约为0.15。

②蛋白质类Wm约3.5%,Aw0.15。

③蔬菜、乳粉类Wm约2.0%,Aw0.06。

④果汁类 果汁粉富含糖类,Aw接近0,看不到Wm值。

(2)安全保藏水分含量 安全保藏水分是保证质量安全与Aw相对应的水分含量(Ws)。为了确定Ws,可以制造基本作为目标制品水分含量前后的各种水分含量的制品,将其在低于与之相当的Aw,或在高于相应的Aw的相对湿度下贮藏,从感官、理化和微生物等指标判定其质量的劣化程度。最初以B、E、T法求出的单分子吸收水分含量Wm作为安全保藏水分量,但从图2-6-1可知,除单分子层吸收区外,更多存在多分子层吸收区(B),为此Caurie提出以按下式规定的固形物浓度的自然对数为纵轴,以Aw或相对湿度RH为横轴,求得吸收等温线,并将其称为自然水分吸收等温线(图2-6-3)。

图2-6-3 自然吸收等温线

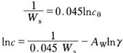
由图2-6-2 RH和Inc曲线可知,RH85%以前为一直线,因此

式中 c——任一Aw下的固形物浓度

c0——Aw为零时的浓度

γ——斜度反对数

食品安全保藏水分Ws与lnc0的关系:

根据Caurie理论,从热力学方面分析,一般食品在Aw=0时的吸收热Qs为47.28kJ,Aw=0.784时为零,将上式中Ws用Qs代入,就可求出Ws

随便看

 

离鸟网收录3541549条中英文词条,其功能与新华字典、现代汉语词典、牛津高阶英汉词典等各类中英文词典类似,基本涵盖了全部常用中英文字词句的读音、释义及用法,是语言学习和写作的有利工具。

 

Copyright © 2004-2024 vtrois.com All Rights Reserved
更新时间:2026/4/8 0:08:39