网站首页  词典首页


请输入您要查询的字词:

 

字词 土坝的施工放样
类别 中英文字词句释义及详细解析
释义

土坝的施工放样


土坝具有可就地取材、施工简便的特点。建筑土坝时的施工放样其内容包括:坝轴线的测设,坝身控制测量,清基开挖线、坡脚线的放样,坝体边坡线的放样及修坡桩的测设等。

1.坝轴线的测设

.对于中、小型土坝的坝轴线位置,一般由工程设计和勘测人员组成选线小组,根据坝址的地质和地形情况,经过方案比较,在现场直接选定。

当坝轴线的两端点在地面确定后,应埋设永久性标志。为了防止施工时端点被破坏,可用经纬仪将其向两端延长到不受施工干扰、易于保存的地方。

2.坝身控制测量

坝轴线是土坝施工放样的主要依据,但是,要进行土坝的细部放样时,在施工干扰较大的情况下,仅有一条轴线是不能满足施工需要的,因此,还必须进行坝身控制测量。坝身控制测量包括平面控制测量和高程控制测量。

(1)平面控制测量

1)平行于坝轴线的控制线的测设

如图13-15所示,M、N是坝轴线的两个端点,M′、N′是轴线上的引桩。将经纬仪设置在M点,照准N点,固定视线,向河床两侧平坦的地面上定出A、B两点。测设时应分别在坝轴线的端点A、B安置经纬仪,定出坝轴线的两条垂线CF和DE,在垂线上按规定的轴距(如5m、10m、20m、30m等)用钢尺丈量出各平行控制线距坝轴线的距离,得各平行线的位置a,b…点,然后用木桩在实地标定。在B点安置经纬仪的方法与A点安置经纬仪测设基本相同。同理可定出a′,b′,…点,aa′,bb′,…直线即为坝轴线AB的平行线,把各平行线延长到两边山坡上,并埋设标志。

图13-15 轴线平行线测设图

2)垂直于坝轴线的控制线的测设

垂直于坝轴线的控制线一般按每隔10~20m设置。通常是将坝轴线上与坝顶设计高程一致的地面点作为坝轴线里程桩的起点,称为零号桩。其桩号为0+000,从零号桩起,每隔一定距离分别设置一条垂直于坝轴线的直线。

测定零号桩的方法,如图13-16所示,在坝轴线端点M附近安置水准仪,后视水准点上的水准尺,得读数为a,则零号桩上的应有读数b可按下式计算,即

b=(H0+a)-H

式中 b——零号桩上水准尺的读数(m);

H0——水准点的高程(m);

H——坝顶的设计高程(m)。

在坝轴线的另一个端点N上安置经纬仪,照准M点,固定照准部,扶尺员持水准尺在经纬仪视线方向沿山坡上、下移动,当水准仪中丝读数为b时,则该立尺点即为坝轴线上零号桩的位置。

图13-16 测定坝轴线的控制线里程桩

零号桩位置确定后,可沿坝轴线由0+000起按选定的距离(图13-16中为20m)丈量,并顺序钉里程桩,其桩号依次为0+020,0+040,…,直至另一端坝顶与地面的交点为止。当地面坡度较陡,直接丈量里程有困难时,可用交会法测设出适当位置P,该点应位于下游或上游便于测距的地方,在E点测设垂直线EK,并精确丈量EK距离。观测水平角β,计算AE的距离为:

如果要测设0+020的里程桩,可用下式算得β1角,即

再用两台经纬仪,分别安置于K和N点。设在N点的仪器照准M点,固定照准部;设在K点的仪器测设角β1;两台仪器视线的交点即为B点。其他里程桩可按上述方法放样。

在各里程桩上分别安置经纬仪,照准坝轴线上较远的一个端点M或N,照准部旋转90°,即可得到一系列与坝轴线垂直的直线。将这些垂线也投测到围堰上或山坡上,用木桩或混凝土桩标志各垂直线的端点。这些端点桩称为横断面方向桩,它们是施测横断面以及放样清基开挖线、坝坡面的控制桩。

(2)高程控制测量

用于土坝施工放样的高程控制,除在施工范围外布设三等或四等精度的永久性水准点外,还应在施工范围内设置临时性水准点。临时性水准点应布置在施工范围内不同高度的地方,以便安置1~2次仪器就能放出需要的高程点。临时水准点应根据施工进度及时设置,并与永久水准点构成附合或闭合水准路线,按等外精度施测。

3.清基开挖线的放样

清基开挖线就是坝体与地面的交线。为了使坝体与地面紧密结合,在坝体填筑前,必须清除坝基自然表面的松散土壤、树根等杂物。在清理基础时,为了不超量开挖自然表土、节省人力物力,测量人员应根据设计图,结合地形情况放出清基开挖线,以确定施工范围。

放样清基开挖线,一般可用图解法量取放样数据。如图13-17所示点在坝轴线上的里程为0+080,A、C为坝体的设计断面与地面上、下游的交点,量取图上BA、BC的距离为d1、d2。放样时,在B点安置经纬仪,定出横断面方向,从B点分别向上、下游方向测设d1、d2,标出清基开挖点A和C。用上述方法定出各断面的清基开挖点,各开挖点的连线即为清基开挖线,如图13-18所示。由于清基开挖有一定的深度和坡度,所以应按估算的放坡宽度确定清基开挖线。当从断面图上量取di时,应按深度和坡度加上一定的放坡长度。

图13-17 图解法放样清基开挖点的数据

图13-18 标定清基开挖线

4.坡角线的放样

清基以后,应放出坡角线,即坝体与地面的交线,以便填筑坝体。下面介绍两种放样方法。

(1)平行线法

坝身控制测量时,设置平行于坝轴线的直线,其与坝坡面相交处的高程可按下式计算,即

式中 Hi——第i条平行线与坝坡面相交处的高程(m);

H——坝顶的设计高程(m);

di——第i条平行线与坝轴线之间的距离,简称轴距(m);

b——坝顶的设计宽度(m);

——坝坡面的设计坡度。

各条平行线与坝坡面相交处的高程经计算后,即可在各平行线上用高程放样的方法测设Hi的坡角点,具体的施测方法与测定轴线上零号桩位置的方法相同。

各个坡脚点的连线,即为坡体的坡角线。但是,为确保坡面碾压密实,一般坡脚处填土范围应当大一些,多余的填土部分称为余坡,余坡的厚度取决于土质及施工方法,一般为0.3~0.5m。

(2)趋近法

清基完工后,先恢复坝轴线上各里程桩的位置,并测定桩点地面高程;将经纬仪安置于各里程桩上,定出各断面方向;在断面方向上的坡脚点附近(可根据设计断面预先估计距离)立尺。用视距法测定立尺点的轴距d′及高程。如图13-19所示。图中A点到B点的轴距d可按下式计算,即

式中 b——坝顶设计宽度;

m——坝坡面设计坡度的分母;

H——坝顶设计高程;——立尺点A′的高程。

图13-19 趋近法标定坡脚点

若计算的轴距d与实测的轴距d′不等,说明该立尺点A′不是该断面的坡脚点。应在断面方向移动立尺点的位置,重复上述的观测计算。经几次试测,直至实测的轴距与计算的轴距之差在容许范围内为止,这时的立尺点即为坡脚点。按上述方法,施测其他断面的坡脚点。

5.坝体边坡线的放样

坝体坡角线放出后,即可在坡角线范围内填土,土坝施工时是分层上料,每层填土厚度约0.5m,上料后即进行碾压,为了保证坝体的边坡符合设计要求,每层碾压后应及时确定上料边界。各个断面上料桩的标定通常采用轴距杆法或坡度尺法。

(1)轴距杆法

根据土坝的设计坡度,按上式计算坝坡面不同高程点至坝轴线的距离,该距离为坝体筑成后的实际轴距。放样上料桩时,必须加上余坡厚度的水平距离为△di=d-di,据此可定出上料桩的位置。随着坝体增高,轴距杆可逐渐向坝轴线移近,如图13-20所示。

图13-20 轴距杆法放样上料桩

1-轴距杆;2-上料桩;3-坝轴线;4-里程桩;5-第一层填土

(2)坡度尺法

坡度尺是根据坝体设计的边坡坡度用木板制成的直角三角形尺。例如,坝坡面的设计坡度若为i=1∶2,则坡度尺的一直角边长为1m,另一直角边应为2m,即构成坡度为1∶2的坡度板。在较长的一条直角边上安装一个水准管。放样时,将绳子一头系于坡脚桩上,另一头系在坝体横断面方向的竹竿上,将三角板斜边靠着绳子,当绳子拉到水准气泡居中时,绳子的坡度即等于应放样的坡度,如图13-21所示。

图13-21 用坡度尺放样边坡

6.修坡桩的测设

坝体修筑到设计高程后,要根据设计的坡度修整坝坡面,修坡是根据标明削去厚度的修坡桩进行的。修坡桩常用水准仪或经纬仪施测。

(1)水准仪法

在已填筑的坝坡面上,钉上若干排平行于坝轴线的木桩。木桩的纵、横间距都不易过大,以免影响修坡质量。用钢卷尺丈量各木桩至坝轴线的距离,并计算桩的坡面设计高程。

用水准仪测定各木桩的坡面高程,各点坡面高程与各点设计高程之差即为该点的削坡厚度。

(2)经纬仪法

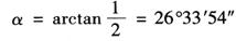
首先依据设计坡度计算出坡倾角。例如,当坝坡面的设计坡度为i=1∶2时,则坡面的倾角为:

在填筑的坝顶边缘上安置经纬仪,量取仪器高度i。将望远镜视线向下倾斜α,此时视线平行于设计坡面。然后,沿视线方向每隔几米树立标尺,设中丝读数为v,则该立尺点的修坡厚度为:

δ=i-v

若安置经纬仪地点的高程与坝顶设计高程不符,则计算削坡量时应加改正数,如图13-22所示。此时,实际修坡厚度应按下式计算,即

δ′=(i-L)+(H-H)

式中 i——经纬仪的仪器高(m);

L——经纬仪的中丝读数(m);

H——安置仪器的坝顶实测高程(m);

H——坝顶设计高程(m)。

图13-22 用经纬仪测定修坡量

随便看

 

离鸟网收录3541549条中英文词条,其功能与新华字典、现代汉语词典、牛津高阶英汉词典等各类中英文词典类似,基本涵盖了全部常用中英文字词句的读音、释义及用法,是语言学习和写作的有利工具。

 

Copyright © 2004-2024 vtrois.com All Rights Reserved
更新时间:2026/4/8 5:00:39