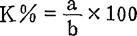
1.分散系数的换算 土壤分散系数用来表示土壤团聚体在水中被破坏的程度,是以微团聚体分析的粘粒(<0.001mm颗粒)与机械分析粘粒(<0.001mm颗粒)的比例关系求得的。

式中:K——土壤分散系数;
a——土壤微团聚体分析时的粘粒百分含量;
b——土壤机械分析时的粘粒百分含量。
土壤分散系数愈大,则团聚体的水稳性愈低。如粘质黑钙土的分散系数小于10%,而碱土柱状层的分散系数可达80%。
2.结构系数的换算 土壤结构系数与分散系数的概念相反,是用来表示土壤形成水稳性团聚体的程度的,结构系数的百分数小,说明土壤分散度高,耕性不良。

式中:Kc——土壤结构系数;
a——土壤微团聚体分析时的粘粒百分含量;
b——土壤机械分析时的粘粒百分含量。
应该说明,分散系数与结构系数这两项指标及其计算公式并非完善,只能供研究和鉴定土壤形成水稳性团聚体的能力和土壤团聚体稳定性时参考。这些计算公式只适用于壤土组至粘土组等重质地土壤,而在砂土组中,土壤结构系数在一定程度上是无实际意义的。
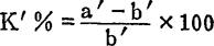
3.土壤团聚度的换算 土壤团聚度表示团聚体的水稳性。

式中 :K′——土壤团聚度;
a′——土壤微团聚体分析时>0.05mm的稳固性微团聚体含量;
b′——土壤颗粒分析时>0.05mm的粒级的含量。
由公式可见,团聚度的增加将意味着微团聚体水稳性的改善。