土壤渗透是研究水分运动规律的重要方面,在灌溉排水和水土保持工作中都要进行土壤渗透系数的测定。
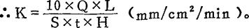
土壤渗透系数的测定,通常都按达西公式进行计算,即:

式中:V——渗透速度;
K——渗透系数;
H——水层厚度(cm);
L——土柱长度(cm);
Q——渗透量(ml);
S——渗透横断面积(cm2);
t——渗透时间(min);

土壤水分的运动还与温度有关,为了便于统一对比,通常都按10℃时的结果为准,不在10℃时所得的渗透系数要加以换算,换算方法可按哈赞公式进行。

式中:K10——10℃时的渗透系数;
Kt——t℃时的渗透系数;
0.7,0.03——经验数值。
测定方法有在田间进行的渗透筒法和渗透管法,还有采成原状土可在室内进行测定的原状土柱法及环刀法。