网站首页  词典首页


请输入您要查询的字词:

 

字词 土壤碳酸钙的测定
类别 中英文字词句释义及详细解析
释义

土壤碳酸钙的测定


土壤中碳酸钙的含量是表明土壤性质的一个重要指标。对石灰性土壤而言,通常以碳酸钙在剖面中的淋溶、淀积和移动的状态,作为判断土壤形成状况和肥力特征的指标之一。这种土壤中的碳酸盐以碳酸钙为主,但也有少量的以碳酸镁和水溶性碳酸盐以及重碳酸盐等形态存在。土壤中碳酸盐的含量与pH密切相关,pH在6.5以上时,就可能有极少量的游离碳酸钙存在,随着pH增高,碳酸钙也有增长的可能。有机质的分解所产生的二氧化碳则又可使碳酸盐转化为重碳酸盐,降低土壤溶液的pH。二氧化碳分压大小对pH也有重大影响,二氧化碳分压大则pH低,分压小则pH高。因此,石灰性土壤溶液的pH常在6.5~8.5之间。

土壤中碳酸钙的测定方法有气量法和扩散吸收法。

1.气量法 气量法是一个简易快速的分析方法,同时具一定的准确度(绝对误差0.5%)。若用标准碳酸钙系列加酸后所产生的二氧化碳体积绘制标准曲线的方法也很方便,据此测得土样中二氧化碳的体积即可在标准曲线上直接查出碳酸钙重量,再由称取样品的重量就能换算出碳酸钙的百分含量。

方法原理:样品中碳酸钙与盐酸作用,产生二氧化碳。二氧化碳气体在一定的温度和气压下具有一定的比重,所以在它的比重表中可以查出每毫升气体的重量。根据二氧化碳重量,即可换算成碳酸钙的含量,或者在标准曲线上直接查出碳酸钙的含量。

CaCO3+2HCl→CaCl2+H2O+CO2/p>

试剂和仪器:

试剂:

①1∶3盐酸溶液(化学纯)。

②氯化汞粉末(化学纯)。

③2.5%氯化亚锡水溶液:用时配制。

仪器:碳酸钙气量法测定装置;100毫升气量体量管;水平调节量管;100毫升分液漏斗;三通活塞;侧面开口的弯曲小试管;250毫升三角瓶;U形管。

测定步骤:

①称取通过60目筛的风干土0.5~10克(根据碳酸钙的含量而定,精确到0.01克),放入250毫升三角瓶中,用蒸馏水湿润样品和瓶壁(如果样品含有硫化物时,应另加0.5克左右氯化汞粉末)。

②向固定在橡皮塞上的弯曲小试管中加入10毫升的1∶3盐酸,试管外和底部若沾有溶液时应用滤纸擦干(防止在未测定CO↓(2

前盐酸滴入三角瓶中)。

③将带有橡皮塞(其中带有三通活塞,使其与外部空气相通)的小试管,放入三角瓶中,用两指捏住瓶口,塞紧塞子(此时不能用手直接接触瓶壁)。用分液漏斗中的溶液调节零点或一定刻度,记下读数(第一次读数)。

④关好三通开关(与外部空气隔绝),用坩锅钳夹住三角瓶颈将其倾斜,使小试管中之盐酸分2~3次倒入三角瓶中,防止二氧化碳发生过于激烈,不使气量管中液体喷出,亦防止样品溅在瓶壁上而引起误差。

⑤充分摇动三角瓶约15分钟,再用分液漏斗调节两管中的液面使之在同一水平面上。然后再摇动三角瓶,当液柱不再移动时,记下第二次读数(摇动和作用时间的长短也要根据碳酸钙的含量多少,温度的高低而定)。将第二次读数减去第一次读数,两次读数之差即V。

⑥同时要做空白试验(V0)。

⑦或者精确称取分析纯碳酸钙0.05、0.1、0.2、0.3、0.4克于250毫升三角瓶中,按上面相同操作步骤,分别测得二氧化碳体积(毫升)。然后按碳酸钙克数为横坐标,以二氧化碳毫升数为纵坐标,在方格纸上绘制成标准曲线。可根据测得的待测样品的二氧化碳毫升数,在标准曲线上直接查得碳酸钙克数,再换算成碳酸钙含量百分数。

结果计算:

式中:V——二氧化碳毫升数;

V0——空白毫升数;

r——每毫升二氧化碳微克重,可根据气压和气温在二氧化碳比重表上查出(表3-18);

2.27——将二氧化碳换算成碳酸钙的常数;

106——将微克换算成克;

100——换算成百分数。

表3-18 二氧化碳比重表(微克/毫升)

注意事项:

①测定前应先查看气压表和气温表,记下读数,并先将样品进行半定量试验,以确定应称取的样品量,同时也可检查是否有硫化氢气味(如有硫化氢气味则应加氯化汞使其沉淀消除影响)。通常将待测样品0.1左右,放在瓷板上,加上2~3滴1∶3HCl,看其发泡程度来估计碳酸钙的含量并闻其气味。若加HCl后,看不出有明显的二氧化碳气泡发生,碳酸钙含量在1%以下,应称取样品10克左右;若能明显地看出二氧化碳小气泡又有一定时间性,估计碳酸钙含量在1%~2%之间,应称取样品5克;若发泡激烈而不持久,其碳酸钙含量在2%~5%,应称取样品1克;若发泡激烈而且持久,其含量在5%以上,应称取样品0.5克。

②为消除水气压和碳酸钙分解热的影响,在待测的三角瓶中用蒸馏水湿润样品及瓶壁和瓶口(瓶口有水则橡皮塞塞紧时不致漏气),使瓶内的水气达到平衡,并使碳酸钙的分解热得到缓冲。有时碳酸钙含量过高(20%以上),只有冷却至室温再进行读数。

③两水柱中的溶液要呈酸性(为1N硫酸溶液),以防止吸收二氧化碳。测定过程中要随时调整两管中液面高度,不要相差太大,防止溶解二氧化碳。

④测定前要严格检查整个系统是否密闭,不能有漏气之处,以免影响结果。

2.扩散吸收法 对于含碳酸钙较少的土壤(如含1%的游离碳酸钙),或施用石灰的红壤,应用扩散法测定碳酸钙的含量是比较适合的。此种方法比较准确地测定0.2~1.0毫克二氧化碳,相对误差不超过0.5%。

方法原理:在扩散皿中扩散出的二氧化碳,被氢氧化钡吸收,形成碳酸钡沉淀。吸收完毕后,用标准酸滴定,即可计算出碳酸钙的含量。用这种方法可以得到较为准确的结果。

附:标准酸碱溶液的配制和标定方法

1.酸碱溶液的配制

①0.1N盐酸溶液:用装有洗耳球的10毫升刻度吸管吸取盐酸(比重1.19)8.3毫升,注入盛有150~200毫升蒸馏水的烧杯中,冷却,然后洗入1000毫升量瓶中,定容到刻度。

②0.1N硫酸溶液:用装有洗耳球的10毫升刻度吸管吸取硫酸(比重1.84)2.8毫升,缓缓注入盛有150~200毫升蒸馏水的烧杯中,冷却,然后洗入1000毫升量瓶中,定容到刻度。

③0.1N氢氧化钠溶液:称取氢氧化钠50克左右溶于100毫升蒸馏中,配成饱和溶液(约12N),用装有洗耳球的吸管吸取8.3毫升于1000毫升量瓶中,再用无二氧化蒸馏水定容到刻度,摇匀。

2.0.1N盐酸溶液或0.1N硫酸溶液的标定 在分析天平上称取分析纯硼砂19.068克溶于水中,定容到1000毫升,即为0.1000N硼砂标准溶液。吸取该溶液10毫升3份分别放入100毫升三角瓶中,用待标定的盐酸或硫酸滴定,以甲基红作指示剂终点由黄变红色,计算求得盐酸溶液或硫酸溶液的浓度。

或者,直接称取分析纯硼砂(或经180~200℃的无水碳酸钠)少许于100毫升三角瓶中,用25毫升左右蒸馏水溶解后,用待标定的盐酸或硫酸滴定,滴加定氮混合指示剂1滴,由蓝色滴至微红色即为终点,计算求得盐酸或硫酸溶液的准确浓度。例如,称取硼砂0.4767克,滴定用去盐酸25毫升,设盐酸浓度为x,190.68为硼砂毫克当量重量(毫克),则:

毫克当量(硼砂)=盐酸体积(毫升)×盐酸浓度(x)

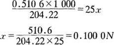
3.0.1N氢氧化钠溶液的标定 在分析天平上称取经105℃烘过的苯二甲酸氢钾(分析纯)20.422克,溶于水中,定容到1000毫升,即为0.1000N苯二甲酸氢钾标准溶液。吸取该溶液10毫升3份于100毫升三角瓶中,用待标定的氢氧化钠溶液滴定,以酚酞作指示剂,由无色变至微红色,保持半分钟不褪色,即为终点,计算求得氢氧化钠的准确浓度。

或者,直接称取经烘干处理的分析纯苯二甲酸氢钾少许于100毫升三角瓶中,用25毫升水溶解后,用需标定的氢氧化钠溶液滴定,滴加0.5%酚酞指示剂2滴,由无色滴至微红色,计算求得氢氧化钠溶液的浓度。例如:称取苯二甲酸氢钾0.5106克,滴定用去氢氧化钠溶液25毫升,设氢氧化钠溶液浓度为x,204.22为苯二甲酸氢钾的毫克当量重量(毫克),则:

试剂与仪器:

试剂:

①0.2N硫酸:取1∶9H2SO45.6毫升,用水稀释至100毫升。

②0.03N盐酸标准液:取浓盐酸2.50毫升用水稀释至1000毫升,用硼砂校正浓度(参考表3-18)。

③0.05N氢氧化钡溶液:称取Ba(OH)2·8H2O7.888克,加无二氧化碳水定容至1升,贮于试剂瓶中,并于溶液表面加一层石蜡油,以防二氧化碳浸入。

④水溶性阿拉伯胶混合胶黏剂:称取10克阿拉伯胶加水15毫升,在研钵中研磨,充分混合至无块状为止。再加入甘油5毫升及1NHCl1毫升充分混匀,将此溶液放在分液漏斗内过夜,第二天将下层清液用分液漏斗分离,以除去上层的泡沫。

⑤百里酚酞指示剂:称取1克百里酚酞,溶解于100毫升95%酒精中。

⑥乙醚。

⑦苏打石灰。

仪器:扩散皿;半微量滴定管(3毫升);苏打石灰管。

测定步骤:

①称取0.100~1.000克风干土样(二氧化碳含量在0.1~1.0毫克),放入扩散皿的外室(勿使样品摊开)。在扩散皿的外圈边缘用毛笔涂上一层黏胶黏剂。

②用装有苏打石灰管的半微量滴定管,准确地向内室加入0.05N氢氧化钡2毫升,立即用毛玻璃盖上,只留一小缝。

③迅速地向稍倾斜放置的扩散皿外室(样品在左侧上方)从右侧下方加入0.2NH2SO45毫升,立即盖严,用橡皮筋固定以防盖子滑动。最好使橡皮筋固成十字形。

④将扩散皿平放在玻璃板上,小心地旋转,使外室的酸液与土样充分混匀。然后在室温下放置1~2小时,每隔一定的时间转动一次;或放入37℃的烘箱内保温30分钟。

⑤打开扩散皿,向内室加入4~5滴乙醚,以防止空气中二氧化碳侵入,再加入1~2滴百里酚酞指示剂,用小玻棒搅匀,然后以0.03NHCl放在微量滴定管中滴定内室溶液,并不断搅动,颜色由蓝变为无色即为终点。

⑥用相同操作方法作空白试验。

结果计算:

式中:V——2毫升氢氧化钡的空白消耗标准盐酸量(毫升);

V1——滴定剩余的氢氧化钡所消耗标准盐酸的量(毫升);

N——标准盐酸的当量浓度;

0.05——碳酸钙每毫克当量的克数。

注意事项:

①用吸管向扩散皿中加入溶液时,吸管尖端的剩余溶液不能用嘴吹,只能借助手的热量使溶液排出,防止二氧化碳的侵入。

②胶黏剂中加入甘油是为了防止干涸,其中加盐酸是为了防止吸收二氧化碳,并且有防腐作用。

③封口胶黏剂要适量,多了会沿着扩散皿的外壁进入外室,少了也会因密封不好而影响分析结果。

随便看

 

离鸟网收录3541549条中英文词条,其功能与新华字典、现代汉语词典、牛津高阶英汉词典等各类中英文词典类似,基本涵盖了全部常用中英文字词句的读音、释义及用法,是语言学习和写作的有利工具。

 

Copyright © 2004-2024 vtrois.com All Rights Reserved
更新时间:2026/4/7 15:02:54