网站首页  词典首页


请输入您要查询的字词:

 

字词 土壤膨胀性的测定
类别 中英文字词句释义及详细解析
释义

土壤膨胀性的测定


土壤膨胀是指土壤吸水后体积增大,反之则为收缩的特性。

一般认为,土壤膨胀是由于土壤胶体,尤其是粘粒部分的水化引起的。胶体的水化包含有二部分,即结晶格的水化和交换性离子的水化,微晶高岭石的水化程度大于高岭石的,钾、钠离子的水化程度大于钙、镁的,由于土壤含有不同种类和数量的粘土和交换性离子,因而具有不同的膨胀性。

土壤的膨胀和收缩随水分的变化而交替进行。在农业生产实践中,由于土壤的膨胀和收缩,常引起土壤的龟裂,损失水分,甚至拉断作物根系,因而也是造成土壤侵蚀的原因之一。土壤的膨胀通常用膨胀仪测定。

(一)仪器设备

(1)膨胀仪(图4-18)包括环刀(内径5.8cm、高2.5cm)、有孔活塞板、千分表及固定千分表的支架、透水石、培养皿及膨胀仪台座。

(2)顶土块、天平、干燥器、刮土刀、滤纸、橡皮圈、烘箱等。

(二)测定步骤 将环刀内壁涂上一薄层凡士林油,取欲测定土壤的原状土,用顶土块从环刀刃口处推进,使环刀中的土样只留下1cm厚的土柱,用刀修去推出部分的土样,取出顶土块,称环刀加土样的重量(准确至0.01g),称后供测定用。

图4-18 膨胀仪装置图

1.千分表 2.环刀 3.培养皿 4.台座 5.有孔活塞板 6.透水石 7.支架 8.顶土块 9.有孔活塞板(正面图)

如果采用磨细土样,则先将环刀刃口下垫一层滤纸,滤纸大于刀口的部分沿环刀外壁向上折,力求平整并用橡皮圈固定,装入风干土约4-5g,用杠杆压缩机进行压土,一般采用5kg/cm2的压力,时间为3min,然后如上法用顶土块从刃口处推进环刀,将厚度超过1cm的土样顶出修平,取出顶土块,擦净环刀外壁,称环刀加土样的重量(准确至0.01g),称后供测定用。

供测定用的带1cm厚土柱的环刀,钝口处垫一滤纸,如上法用橡皮圈固定平稳地放置在透水石上之后连同透水石放在蒸发皿中间。将有孔活塞板平整的放在试样顶面上,对准活塞中心装好千分表,将千分表指针调至零点(如不调至零点,读下读数亦可)。

于蒸发皿中注入蒸馏水,水面与土样底面相齐平,记录土样注水时间,并按试验预先设计的时间分别记录千分表上的读数,直至试样不再膨胀为止(读数时间为5min、10min、20min、30min、1h、2h、4h、8h、24h、48h,若不需观察动态,则取最后读数即可)。

经测定后,移去千分表,取出环刀中的土样,移至铝盒中称重,而后烘干测其含水量。结果记录见表4-11。

(三)结果计算及绘图

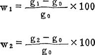
(1)按下式计算试验前及膨胀稳定后的含水量:

式中:w1——试验前土样含水量(%);

w2——膨胀稳定后土样含水量(%);

g1——试验前环刀内土样重(g);

g2——膨胀后环刀内土样重(g);

g0——环刀内烘干土重(g)。

(2)按下式计算任一时间的膨胀量:

式中:△V——时间t时土壤膨胀量(%);

△H——时间t时的膨胀增量(mm);

h——环刀内土壤厚度(mm);

Rt——时间t时千分表的读数(mm)。

测定土壤膨胀记录表见表4-11。

表4-11 土壤膨胀测定记录表

土壤编号 试验者

土壤名称 试验日期

如有需要可以时间为横座标,膨胀量为纵座标,绘制膨胀量与经过时间的关系曲线。

随便看

 

离鸟网收录3541549条中英文词条,其功能与新华字典、现代汉语词典、牛津高阶英汉词典等各类中英文词典类似,基本涵盖了全部常用中英文字词句的读音、释义及用法,是语言学习和写作的有利工具。

 

Copyright © 2004-2024 vtrois.com All Rights Reserved
更新时间:2026/4/8 1:42:16