网站首页  词典首页


请输入您要查询的字词:

 

字词 土方工程
类别 中英文字词句释义及详细解析
释义

土方工程


①平整场地 系指厚度在±30厘米以内的就地挖、填找平,其工程量按建筑物(或构筑物)底面积的外边线每边多增加2米计算。

其计算为公式为:

A=S+L×2+16

式中 A-面积(m2);

L-外墙外边线长(m);

S-底层建筑面积(m2)。

〔计算例〕 某建筑物长30米,宽10米,底层建筑面积为300平方米,求平整场地面积。

图2-1

A=300+80×2+16

=467m2

或=(30+4)×(10+4)

=476m2

②挖地坑 凡挖土底面积在20平方米以内的,按地坑挖土计算,地坑底面积不放坡和不带挡土板的按图示尺寸计算;带挡土板的每边各加10厘米计算。地坑体积计算如下:

a.不放坡和不带挡土板的

方形或矩形 V=Hab

圆形 V=HπR12

b.放坡的 方形或矩形(见图2-2)

图2-2

或简化公式

的体积(即地坑四角锥体积)见地坑放坡时四角的角锥体体积表(表2-1)。圆形(见图2-3)。

图2-3

表2-1 地坑放坡时四角的角锥体积表 单位:m3

注:(1)正方形或矩形地坑(需放坡者)的体积,凡采用简化公式时、均可按上表计算;

(2)值为地坑四角的角锥体体积,(见示意图);

(3)示意图中C=0

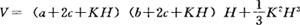
c.带挡土板的

计算支挡土板的挖土工程量时,槽、坑底宽尺寸每边多加10厘米计算。

方形或矩形(见图2-4)

图2-4

V=H(a+2c+0.10×2)(b+2c+0.10×2)

圆形(见图2-5)

图2-5

V=πH(R1+0.10)

式中 V-挖土体积(m3);

a-基础长度(m);

b-基础宽度(m);

H-地坑深度(m);

R1-坑底半径(m);

R2-坑面半径R2=R1+KH(m);

C-工作面宽度(m)

K-坡度系数(挖土方、挖土槽、地坑放坡系数及放坡起点(见表1-1)。

③挖地槽、沟 凡槽形(槽长大于槽宽3倍)挖土底宽在3米以内的,按地槽挖土计算。

地槽长度:外墙地槽和管沟以其中心线长度计算;内墙地槽以槽底的净长计算。

地槽宽度:不放坡和不带挡土板的地槽宽度按图示基础或垫层的宽度计算;管道沟宽度按设计宽度计算。放坡的,加放坡宽度计算;带挡土板的每边各加10厘米计算。一面放坡一面带挡土板的,一边加放放坡宽度另一边加10厘米计算。如需要增加的工作面,按施工组织规定计算,如无规定时可按下列规定计算。

a.毛石、砖砌筑,每边增加工作面15厘米。

b.混凝土基础或垫层支模板的,每边增加工作面30厘米。

c.使用卷材或防水砂浆做垂直防潮层时,每边增加工作面80厘米。

地槽深度:地槽深度不同时,应分别计算。管道沟地深度,按分段间的地面加权平均自然标高减去管底(包括管壁厚度)或基础底的平均标高计算。

计算管道沟土方工程量时,各种检查井类和排水管道接口等处,因加宽而增加的工作量,均不计算,但铺设铸铁给水管道时,接口处的土方工程量应按铸铁管道沟全部土方工程量增加2.4%计算。

表2-3 管沟底宽度尺寸表 单位:m

地槽体积计算如下:

不放坡和不带挡土板的(见图2-6)

图2-6

V=H(a+2c)L

由垫层下表面放坡(见图2-7)

图2-7

V=H(a+2c+HK)L

由垫层上表面放坡(见图2-8)

图2-8

V=(a+KH1)L+2H2L

或 V=〔H(A+KH1)+2H2〕L

带挡土板的(见图2-9)

图2-9

V=H(a+0.2+2c)L

一面放坡一面带挡土板的(见图2-10)

图2-10

式中 V-挖土体积(m3);

H-槽面至垫层或基础底的深度或管道沟分段间的平均沟槽深度(m)。(有基础时H=h1+h2+t,无基础时H=h1+t)见图2-11;

图2-11

H1-槽面至垫层上表面的深度(m);

H2-垫层厚度(m);

a-基础宽度(m);

C-工作面宽度(m);

L-槽、沟长(m);

K-坡度系数。

〔计算例〕 设槽长50米,槽深2米,为三类土,砌毛石基础宽60厘米,其工作面宽度每边增加15厘米,求挖槽土方体积(见图2-12)。

图2-12

解:V=50×(0.60+0.15×2+0.33×2)×2

=156m3

①回填土 回填土按夯填和松填分别以立方米计算。回填土可按下列方法计算。

回填土体积=挖土体积-设计室外地坪以下埋设的砌筑量(包括墙基、柱基、管道基础体积以及基础垫层)

在计算管道沟的回填土时,管道直径在500毫米以上的(包括500毫米),需减去其所占的体积,每米长应减去的数量可按表2-4的规定计算:

表2-4 单位:m

⑤运土

因场地狭小无堆土地点,挖出的土方,是否全部运出,待回填时再运回,或只运回填后的余土,应根据施工组织设计规定数量、运距及运输工具计算。余土或取土的工程量可按下列方法计算:

余土运输体积=挖土体积-回填土体积

取土运输体积=回填土体积-挖土体积(系指挖土少于回填土)

随便看

 

离鸟网收录3541549条中英文词条,其功能与新华字典、现代汉语词典、牛津高阶英汉词典等各类中英文词典类似,基本涵盖了全部常用中英文字词句的读音、释义及用法,是语言学习和写作的有利工具。

 

Copyright © 2004-2024 vtrois.com All Rights Reserved
更新时间:2026/4/7 22:06:40