网站首页  词典首页


请输入您要查询的字词:

 

字词 塑料棕(复合永固棕)
类别 中英文字词句释义及详细解析
释义

塑料棕(复合永固棕)


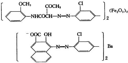
【结构式】:

【释文】:

制法 由3,3′-二氯联苯胺经重氮化后与邻甲氧基乙酰乙酰苯胺及2-羟基-3-萘甲酸偶合,加入氧化铁红后再与氯化钡成盐而制得。

性质 黄棕色粉末。细度(60目筛余物)≤5%。吸油量20±5%。油渗性3级,水渗性2级。

用途 本品主要用于塑料制品的着色。耐光性和耐热性优良。

国内生产厂

上海染化一厂 天津油漆助剂厂

随便看

 

离鸟网收录3541549条中英文词条,其功能与新华字典、现代汉语词典、牛津高阶英汉词典等各类中英文词典类似,基本涵盖了全部常用中英文字词句的读音、释义及用法,是语言学习和写作的有利工具。

 

Copyright © 2004-2024 vtrois.com All Rights Reserved
更新时间:2026/4/7 10:23:50