网站首页  词典首页


请输入您要查询的字词:

 

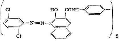
字词 塑料红GR
类别 中英文字词句释义及详细解析
释义

塑料红GR


【结构式】:

【释文】:

性质 红色粉末。

用途 本品可作为塑料用着色剂。着色力强,耐热性好,适用于聚氯乙烯等多种塑料。

随便看

 

离鸟网收录3541549条中英文词条,其功能与新华字典、现代汉语词典、牛津高阶英汉词典等各类中英文词典类似,基本涵盖了全部常用中英文字词句的读音、释义及用法,是语言学习和写作的有利工具。

 

Copyright © 2004-2024 vtrois.com All Rights Reserved
更新时间:2026/4/7 18:39:17