网站首页  词典首页


请输入您要查询的字词:

 

字词 声信号的频率分析
类别 中英文字词句释义及详细解析
释义

声信号的频率分析


日常遇到的噪声或振动,绝大多数不是纯粹的谐和运动,即使它们具有周期特点。如图11.4.1所示。

图11.4-1 非谐和周期性运动波形举例

但是,根据数学原理,任何周期曲线,不管它有多复杂,都可以用一组纯正弦曲线组成,各条曲线代表一个有一定频率的简谐运动。这即叫傅立叶频率分析法。

f(t)=x0+x1sin(2πf1t+φ1)+x2sin(2πf2t+φ2)+x3sin(2πf3t+φ3)+…xnsin(2πfnt+φn) (11.4-1)

式中:n可以无限大数,实际上不可能,只是n愈大,对f(t)的模拟程度愈高。

这种分析是以时域表示的波形改为用频域表示的频谱,即叫时域频域变换,如下图114-2所示。

T1与T2的简谐运动,它们的频率分别为f1(a)与f2(b)。

图11.4-2 图11.4-1 (上图)的周期运动分解成两个周期为

对应于无规噪声的质点运动是无规则可循的,严格地说,运动过程不可能预期有正确的重复。如图11.4-3和11.4-4所示。要完整地描述这种噪声,理论上必须作无限长时间的记录,事实上是不可能的,因此只能用统计理论的工具给予描述,这就引进概率分布的概念。概率是表示所讨论的事件(或指某一噪声幅度)发生的机会,如果它每次均在讨论时出现,则说概率为1;相反它从不出现,则概率为0,实际概率分布为1与0之间。为了研究无规噪声的概率与概率密度概念,我们把图11.4-3的噪声谱的时间坐标放大展开,再取其中一小段来讨论,如图11.4-5所示。

图11.4-3 稳态无规噪声谱示例

图11.4-4 非稳态无规噪声图

图11.4-5 表示概率与概率密度概念的一小段无规噪声信号

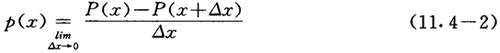
从物理上说,概率密度为在一定的幅度间隔Δx内的出现瞬时幅度的概率除以Δx所得的值。因此概率是无量纲的量,而概率密度是具有某一量纲的量。

从数学上,在一定的幅度x的概率密度可表达成:

式中,P(x)代表概率密度;P(x)代表瞬时幅度超过x时的概率;P(x+Δx)代表瞬时幅度超过x+Δx时的概率。

在讨论噪声测量数据时采用概率密度的好处是可作不同实验量值或不同实验类群之间的直接对比。

根据概率密度的定义,如对所有可能的噪声幅度进行积分,则总结果等于1,将实验数据或理论数据用概率密度表示的实际方法往往采用曲线,如概率密度曲线下的总面积等于1,则叫标准分布或正态分布;或高斯分布。最常见的曲线如图11.4-6所示。

图11.4-6 正态高斯概率密度曲线

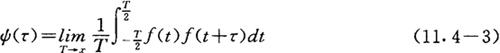
概率密度的局限性是它不能给出时间经历或频率含量。为此,可引入统计物理的自相关函数ψ(τ):

式中:f(t)为任意时刻t的噪声信号函数;f(t+τ)为t+τ时刻的同一噪声信号函数。如图11.4-7所示。

图11.4-7 表示自相关函数的基本概念

对于理想的稳定的无规噪声,即为白噪声,自相关函数为在τ=0附近无限窄的脉冲函数,因为噪声各瞬时幅度之间彼此完全独立。实际情况当然不是这样理想,使得此脉冲有一定宽度,如图11.4-8所示。

(a)理想的稳定无规噪声(包括由0到τ的所有频率,恒定谱密度)自相关函数。

(b)实际上有一定带宽的稳定无规噪声的自相关函数。

(c)窄带稳定无规噪声的自相关函数。

图11.4-8 自相关函数示例

自相关函数与均方谱密度之间存在非常重要的关系,并根据傅立叶变换,有表达式如下:

S(f)=∫-∞ψ(τ)e-j2πfτdτ (11.4-4)

ψ(τ)=∫-∞S(f)ej2πfτdf (11.4-5)

脉冲与冲击现象也可用博立叶分析来表示。若以f(t)表示脉冲的时间函数,则可给出傅立叶变换: (11.4-6)

11.4.9图给出几种脉冲的时间函数及它们的傅立叶频谱,从图中可以看出,脉冲的能量分布在从0到∞的频率上,且频谱连续不分离。这是与前面讨论的周期运动的区别。

(a)矩形脉冲;(b)尖锯齿脉冲;(c)半正弦脉冲。

图11.4-9 冲击时间函数及其傅立叶变换频谱

图中|F(f)|表示式等号右侧绝对值在f→0时趋近于1,于是(a)、(b)、(c)中各|F(f)|值分别为AT,AT/2,及2AT/π,它们分别为图中左边脉冲的面积。因此,在很低的频率,傅立叶频谱成分数值上等于脉冲的面积,这是一个重要的关系。这表示,当脉冲或冲击与所作用系统的固有周期相比为很短时,冲击的作用就可用它的面积来衡量。因此在评论脉冲持续时间的长短时,应该是相对的。

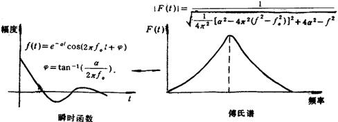
对于单周期的冲击波,傅立叶频谱成份在频率接近于零时趋向于零,其最大值集中在对应于瞬时振荡频率f0附近,如图11.4-10所示。瞬时现象停止得愈快,最大值愈宽。若瞬时现象始终不停,瞬时现象变为周期运动,其频谱就变为以前所述的在f0的分离线。

图11.4-10 冲击波形式的振荡瞬间及其傅立叶函数

一个具有随时间变化的输入信号a(t)及输出信号b(t),只要在规定的时间内为线性,则总可以找出一个函数,令为h(t)来描述该系统的动态特性。由于该函数的变量为时间t,故h(t)可称为时域函数,这个函数的条件是能与输入输出的大小无关。因此,在输入信号已知的条件下,可以预测输出信号,反之亦然。

通过傅氏变换,可以将时域函数转变为频域函数。例如一个随时间变化的单脉冲f(t),经过傅氏变化转换为随频率变化的函数F(f): (11.4-7)

由F(f)展开的频谱也叫傅氏谱,图11.4-11举出三种单脉冲的时域与频域谱形。图中左侧为脉冲随时间变化特性,右侧为经傅氏变换后的随频率变化的傅氏谱。

①矩形脉冲;②三角形脉冲;③N一形脉冲

图11.4-11 三种具体单脉冲的时域与频域变化

【参考文献】:

[1]IEC—327,Precision method for pressure calibration or one—inch standard condenser microphones by the reciprocity technique. 1971.

[2]1EC—486,Precision method for free—field calibration of one inch standard condenser microphones by reciprocity technique, 1974.

[3]IEC—150.Testing and calibration of ultrasonic therapeutic equipment, 1963.

[4]GB 3223-82,水声换能器的自由场互易校准

[5]GB 3785-83,声级计的电,声性能及测量方法

[6]GB 7341-87,听力计

[7]GB 7614-87,校准测听耳机用宽频带型仿真耳

[8]GB 7342-87,测听耳机校准用IEC临时参考耦合腔

[9]OIML R102,声校准器

[10]JJG 188-90,声级计

[11]JJG 698-90,积分声级计

[12]标准电容传声器有关国家标准及检定规程

[13]JJG 388-85,听力计

随便看

 

离鸟网收录3541549条中英文词条,其功能与新华字典、现代汉语词典、牛津高阶英汉词典等各类中英文词典类似,基本涵盖了全部常用中英文字词句的读音、释义及用法,是语言学习和写作的有利工具。

 

Copyright © 2004-2024 vtrois.com All Rights Reserved
更新时间:2026/4/7 19:49:48