网站首页  词典首页


请输入您要查询的字词:

 

字词 声速与温度的关系
类别 中英文字词句释义及详细解析
释义

声速与温度的关系


在声速的公式中r、P、ρ决定C的数值,但它们本身却也受温度的影响,在通常的情况下,对于同样压力和密度的同样气体,温度是影响声速的主要因素。

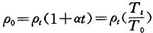
在0℃时的声速为,在t℃时

ρ0及ρt分别为C0及t0时的气体密度。它们与温度的关系为

式中,为气体膨胀系数。Tt及T0为绝对温度。

因此有:

这表示空气中的声速与绝对温度的平方根成比例。于是就可以写成:

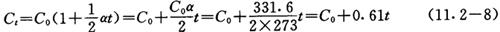
应用二项式定理展开,并略去第二项以后的各项,得:

根据这一关系,在任何温度时所测得的声速均可以0℃的声速来校正。必须注意,这一近似式只在时即时,才能取近似的二项式。故当|t|的值较大,就需应用原始关系式(11.2-7)。

【参考文献】:

[1]IEC—327,Precision method for pressure calibration or one—inch standard condenser microphones by the reciprocity technique. 1971.

[2]1EC—486,Precision method for free—field calibration of one inch standard condenser microphones by reciprocity technique, 1974.

[3]IEC—150.Testing and calibration of ultrasonic therapeutic equipment, 1963.

[4]GB 3223-82,水声换能器的自由场互易校准

[5]GB 3785-83,声级计的电,声性能及测量方法

[6]GB 7341-87,听力计

[7]GB 7614-87,校准测听耳机用宽频带型仿真耳

[8]GB 7342-87,测听耳机校准用IEC临时参考耦合腔

[9]OIML R102,声校准器

[10]JJG 188-90,声级计

[11]JJG 698-90,积分声级计

[12]标准电容传声器有关国家标准及检定规程

[13]JJG 388-85,听力计

随便看

 

离鸟网收录3541549条中英文词条,其功能与新华字典、现代汉语词典、牛津高阶英汉词典等各类中英文词典类似,基本涵盖了全部常用中英文字词句的读音、释义及用法,是语言学习和写作的有利工具。

 

Copyright © 2004-2024 vtrois.com All Rights Reserved
更新时间:2026/5/26 4:43:32