网站首页  词典首页


请输入您要查询的字词:

 

字词 多元线性回归法
类别 中英文字词句释义及详细解析
释义

多元线性回归法


它是解决实际生产中一个因变量Y与k个自变量(k≥2)X1,X2,…Xk的线性相关关系问题的回归分析方法。一般假定Y与各个Xi有如下线性关系:

抽取n组数据:

(y1;x11,x21,…,xk1)

(y2;x12,x22,…,xk2)

…………………

(yn;x1n,x2k,…,xkn)

利用正规方程:

l11b1+l12b2+…+l1kbk=l1y

l21b1+l22b2+…+l2kbk=l2y

…………………

lk1b1+lk2b2+…+lkkbk=lky

b0=y-b1x1-b2x2-…-bkxk

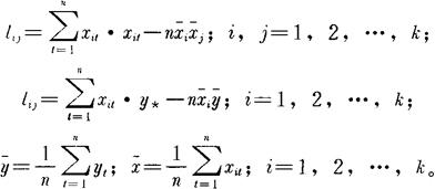
来求解的估计值。在正规方程中

随便看

 

离鸟网收录3541549条中英文词条,其功能与新华字典、现代汉语词典、牛津高阶英汉词典等各类中英文词典类似,基本涵盖了全部常用中英文字词句的读音、释义及用法,是语言学习和写作的有利工具。

 

Copyright © 2004-2024 vtrois.com All Rights Reserved
更新时间:2026/4/7 9:29:43