网站首页  词典首页


请输入您要查询的字词:

 

字词 多型腔浇注系统的计算
类别 中英文字词句释义及详细解析
释义

多型腔浇注系统的计算


4.2.3.1 分流道的计算

在多型腔模具中,分流道为非平衡布置时,熔体在各分流道之间的体积流量是不会相同的,但可以认为它们的流速是相等的,以此达到各型腔同时充满的目的。为此,各流道之间应以不同的长度或截面尺寸来达到流量不等。经分析推导,可用下式进行平衡计算:

式中 Q1,Q2——塑料熔体分别在流道1和流道2中的流量(cm3/s)

d1,d2——流道1和流道2的直径(cm)

L1,L2——流道1和流道2的长度(cm)

上式没有考虑分流道转弯局部阻力的影响,以及模具温度不均的影响。实际上尚需对这些因素作校正,才能达到充模时间相等的目的。

当分流道作平衡式布置,且各型腔所需之填充量又相等时,则各分流道的截面变化、长度尺寸等均应相同。

4.2.3.2 浇口的平衡

在非平衡式布置的分流道中,由于主流道至各型腔的分流道长度各不相同,或者各型腔的形状和尺寸不尽相同,因此,为使各个型腔能同时均衡地充满,只有改变浇口截面尺寸。

在多腔模中,当分流道截面尺寸较大、流程又不太长时,分流道内熔体的温度和压力都无较大的变化。此时熔体首先到达离主流道最近的浇口处,开始进入型腔,但由于这时分流道尚未充满,分流道内熔体的流动阻力比浇口处熔体的流动阻力小得多,故熔体优先在分流道内流动。直到整个分流道被充满,分流道内熔体的压力被升高后,熔体首先充满离分流道最远的型腔,然后再返回来,分别将各型腔充满。为了使各型腔能基本上同时充满,应将靠近主流道的浇口做得大一些,而将较远处的浇口做得小一些,以达到平衡的效果。这种平衡方法,只适用于分流道截面大、流程短的模具。各浇口的尺寸目前尚无行之有效的定量计算方法,但在一般的情况下是根据试模的情况,对浇口进行1~3次的修正,就可取得合理的浇口尺寸。

当分流道比较细长(一般在200mm以上)及流道中熔体的流动阻力的增加和温度的降低都不可忽视时,温度和压力的降低都会使远离主流道的型腔难以充满,此时就不能采用上述的浇口离主流道越远尺寸越小的办法。设计平衡浇口的经验公式为:

式中 k——浇口平衡系数,它与通过浇口的熔体质量成正比,当各型腔的形状尺寸相同时,其k值相等

S——浇口的截面积(mm2)

l——浇口长度(mm)

e——由主流道至型腔浇口的距离(mm)

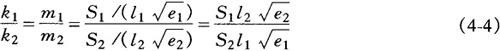
当各型腔的大小不同时,应采用如下公式来平衡浇口:

式中 k1,k2——型腔1与型腔2的浇口平衡系数

m1,m2——型腔1与型腔2的塑料填充量(g)

其余符号同(4-3)式

4.2.3.3 型腔数目的确定

型腔数目的确定通常有下面四种方法:

(1)根据经济性确定型腔数目 设型腔数目为n,塑件总件数为N,模具费用为(C0+nC1)元,C1为每一型腔所用费用,C0为模具费用中与型腔数目无关的部分,单位小时加工费用为Y(元/小时),成型周期为t(min),若忽略准备时间和试模时的原料费用,则总的成型加工费用为

若使总成型加工费用为最少,即令dx/dn=0,则有

(2)根据锁模力确定型腔数目 设锁模力为F(N),型腔压力为p(MPa),每一塑件的投影面积为A1(mm2),浇注系统的投影面积为A2(mm2),则有

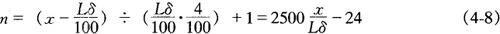
(3)根据塑件的精度确定型腔数目 根据经验,每增加一个型腔,塑件尺寸精度要降低4%,设塑件的基本尺寸为L(mm),塑件尺寸公差为±x,单型腔时塑件可达到的尺寸公差为±δ%(POM为±0.2%,PA66为±0.3%,PC、PVC、ABS等非结晶型塑料为0.05%)则有

(4)根据最大注射量确定型腔数目 设注射机的最大注射量为m(g),单个塑件的质量为m1(g),浇注系统质量为m2(g),则有

n=(0.8m-m2)/m1 (4-9)

随便看

 

离鸟网收录3541549条中英文词条,其功能与新华字典、现代汉语词典、牛津高阶英汉词典等各类中英文词典类似,基本涵盖了全部常用中英文字词句的读音、释义及用法,是语言学习和写作的有利工具。

 

Copyright © 2004-2024 vtrois.com All Rights Reserved
更新时间:2026/4/8 22:15:54