网站首页  词典首页


请输入您要查询的字词:

 

字词 大分子大红R
类别 中英文字词句释义及详细解析
释义

大分子大红R


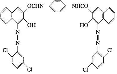
【结构式】:

【释文】:

制法 由2,5-二氯苯胺经重氮化后与2,3-酸偶合,所得产物经酸化和用氯化亚砜酰氯化后,与对苯二胺缩合而得。

性能 红色粉末。分子量794.48。细度(60目筛余物)≤5.0%。水分≤1.5%。水溶物≤1.5%。耐热温度150℃。耐酸性(5%HCI)不褪色,耐碱性(5%Na2CO3)不褪色。

用途 本品主要用于塑料的着色,也用于橡胶、油漆、油墨和合成纤维的原浆着色。着色力高,色光鲜艳,具有优良的耐晒性、耐热性和耐溶剂性。

国内生产厂 上海染化十二厂

国外生产厂

随便看

 

离鸟网收录3541549条中英文词条,其功能与新华字典、现代汉语词典、牛津高阶英汉词典等各类中英文词典类似,基本涵盖了全部常用中英文字词句的读音、释义及用法,是语言学习和写作的有利工具。

 

Copyright © 2004-2024 vtrois.com All Rights Reserved
更新时间:2026/4/9 13:18:19