网站首页  词典首页


请输入您要查询的字词:

 

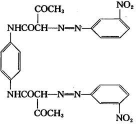
字词 大分子嫩黄4GL(1155大分子嫩黄4GL)
类别 中英文字词句释义及详细解析
释义

大分子嫩黄4GL(1155大分子嫩黄4GL)


【结构式】:

【释文】:

制法 由间硝基苯胺经重氮化后,与双乙酰乙酰苯胺偶合而得。

性质 绿光黄色粉末。分子量574.51。细度(60目筛余物)≤0.5%。水分≤1.5%。水溶物≤1.5%.耐热性(180~210℃)5级,耐酸性5级,耐碱性5级,耐迁移性4~5级。

用途 本品可作为塑料和橡胶用着色剂,着色力高,色光鲜艳。耐热、耐晒和耐迁移性优良。本品也适用于油漆和油墨的着色。

国内生产厂 上海染化十二厂

随便看

 

离鸟网收录3541549条中英文词条,其功能与新华字典、现代汉语词典、牛津高阶英汉词典等各类中英文词典类似,基本涵盖了全部常用中英文字词句的读音、释义及用法,是语言学习和写作的有利工具。

 

Copyright © 2004-2024 vtrois.com All Rights Reserved
更新时间:2026/4/9 4:24:51