网站首页  词典首页


请输入您要查询的字词:

 

字词 大分子橙2RN(2401大分子橙2RN)
类别 中英文字词句释义及详细解析
释义

大分子橙2RN(2401大分子橙2RN)


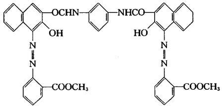
【结构式】:

【释文】:

制备 由邻氨基苯甲酸甲酯重氮化后,与2,3-酸偶合,偶合物经酸化,酰氯化,再与间苯二胺缩合而得。

性质 橙色粉末。分子量772.77。细度(60目筛余物)≤5%。水分≤1.5%。水溶物≤1.5%。耐晒性6~7级,耐迁移性4级。

用途 本品主要用于塑料的着色,着色力强,色光鲜艳,具有耐晒、耐热、耐迁移等优良性能。本品还适用于橡胶、油漆、油墨和合成纤维原液的着色。

国内生产厂 上海染化十二厂

随便看

 

离鸟网收录3541549条中英文词条,其功能与新华字典、现代汉语词典、牛津高阶英汉词典等各类中英文词典类似,基本涵盖了全部常用中英文字词句的读音、释义及用法,是语言学习和写作的有利工具。

 

Copyright © 2004-2024 vtrois.com All Rights Reserved
更新时间:2026/4/9 2:38:58