网站首页  词典首页


请输入您要查询的字词:

 

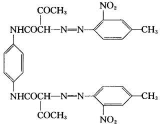
字词 大分子黄GRL
类别 中英文字词句释义及详细解析
释义

大分子黄GRL


【结构式】:

【释文】:

制法 由2-硝基-4-甲基苯胺经重氮化后,与双乙酰乙酰对苯二胺偶合而得。

性质 红光黄色粉末。分子最602.56。细度(60目筛余物)≤5.0%。水分≤1.5%。水溶物≤1.5%。在聚氯乙烯中的牢度性能:耐晒性(0.1%)7~8级,耐热性(0.2%)5级,耐迁移性(0.2%)4~5级。

用途 本品主要用于塑料的着色,特别是聚氯乙烯的着色。色光鲜艳,着色力高。耐热、耐晒和耐迁移性能优良。本品也可用于橡胶、涂料和油墨的着色。

国内生产厂 上海染化十二厂

随便看

 

离鸟网收录3541549条中英文词条,其功能与新华字典、现代汉语词典、牛津高阶英汉词典等各类中英文词典类似,基本涵盖了全部常用中英文字词句的读音、释义及用法,是语言学习和写作的有利工具。

 

Copyright © 2004-2024 vtrois.com All Rights Reserved
更新时间:2026/4/9 6:27:22