网站首页  词典首页


请输入您要查询的字词:

 

字词 大堤防(隔)渗墙质量浅层地震检测
类别 中英文字词句释义及详细解析
释义

大堤防(隔)渗墙质量浅层地震检测


为了确保重点江河大堤的绝对安全,国家每年需投入大量的人力和物力对大堤进行加固处理。近年来,提出了采用防(隔)渗墙方法,防止(或隔离)地下水和江水穿过大堤堤身,防止管涌的形成,从而达到保证大堤安全的目的。形成防(或隔)渗墙的方法很多,例如搅拌、砼成墙。此类墙具有竖直的规整的二维板状体和厚度小(一般为20~30cm)两大特点。因此,如何准确地无损检测墙的质量(主要包括墙的连续性和厚度),是目前最为关注的问题。采用浅层地震反射波和瞬态瑞雷面波法相结合对搅拌和砼成墙方法形成的隔渗墙质量检测效果较好。

8.5.6.1 地球物理条件和成墙厚度的计算

浅层地震反射波法和瞬态瑞雷面波法均是利用介质的物性差异,在物性发生变化或突变部位将产生波的反射或绕射和频散现象。砼防渗墙主要由砂和水泥灌注而成,而搅拌隔渗墙主要由水泥和粘土孔中搅拌而成,因此,墙与围土、墙与夹泥(或疏松体)之间均存在明显的物性差异,将产生反射或绕射和频散,具有较好的地震地质条件。检测区内表层均为粘土或亚粘土,具有良好的激发接收条件。不管是防渗墙还是隔渗墙,从设计上看均为一个竖直的规整的二维板状体,若墙体所穿过的地层或墙体附近为均匀状介质,有

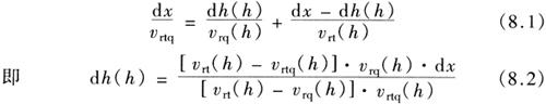
式中,νrt(h),vrtq(h),νrq(h)分别是深度为h处的围土、墙体两侧两检波器之间(即墙和围土的综合)和墙体的面波速度,dh(h)是深度为h处的墙的厚度,dx为墙体两侧两检波器之间的距离。当νrt(h)=νrtq(h)时,墙厚dh(h)=0;当vrtq(h)=vrq(h)时,墙厚dh(h)=dx。当深度为h处的νrt(h),νrtq(h)和νrq(h)及dx为已知时,即可由(8.2)式求得墙厚dh(h)。因此,墙厚的反演精度取决于由瑞雷面波法获取的围土、墙体和墙体两旁检测器之间的面波速度(图8-14)。

图8-14 厚度计算示意图

8.5.6.2 砼防渗墙浅层地震反射深度剖面及厚度

由图8-15断面墙的厚度和图8-16砼防渗墙浅层地震反射深度剖面可知,剖面上主要有3组连续性较好的反射同相轴,它们分别为防渗墙顶板、底板和粘土层底板反射,墙体中异常清晰易辨。墙的顶板埋深约为1.3~2.5m,底板埋深约为13.0~15.0m(设计埋深为14.0m)。墙体中存在3处夹疏松物或墙厚变薄的异常。2个断面墙的最小厚度为19.9cm,最大厚度为23.6m,平均厚度分别为22.5cm和21.7cm,均达到设计要求(设计厚度为22.0cm)。

图8-15 厚度示意图

图8-16 砼防渗透墙浅层地震反射深度剖面

8.5.6.3 搅拌隔渗墙浅层地震反射深度剖面及厚度

由图8-17两个断面墙的厚度和图8-18搅拌隔渗墙浅层地震反射深度剖面可知,隔渗墙顶底板反射相轴基本上可连续追踪对比解释,墙体中异常清晰易辨。墙的顶板埋深约为0.5~2.5m,底板埋深约为17.0~19.0m(设计埋深为18.0m)。底板反射同相轴的连续性比顶板反射同相轴的连续性相对要差,表明墙底存在夹泥和不光滑现象。墙体中主要存在四处夹泥异常。两个断面墙的最小厚度为32.8cm,最大厚度为35.3cm,平均厚度分别为33.0em和33.1cm,均达到设计要求(设计厚度为33.0cm)(刘江平等,2000)。

图8-17 断面厚度示意图

图8-18 搅拌隔渗墙浅层地震反射深度剖面

【参考文献】:

地矿部成都水文地质工程地质中心.1992.《长江三峡工程库区环境工程地质》

段永候等.1993.《中国地质灾害》.北京:中国建筑工业出版社

邓世坤.2000.探地雷达在水利设施现状及隐患探测中的应用.《物探与化探》

刘传正等.2000.《地质灾害勘查指南》.北京:地质出版社

刘江平,张丽琴,张友明等.2000.浅层地震技术在大堤防(漏)渗墙质量检测中的应用.《物探与化探》

李德铭.1995.综合电法探测坝体隐患.《物探与化探》

汤洪志.1999.综合物探在江西广昌中坊水库坝勘查中的应用.《中国地球物理学会年刊》

滕润秋,晁小林.1999.物探方法在洞庭湖区堤防工程隐患检测中的应用.《中国地球物理学会年刊》

孙党生,李洪涛,任晨虹.2000.井间地震波Cr技术在水库渗漏勘查中的应用.《勘查科学技术》

王传雷,董浩斌等.1999.高水位情况下堤坝隐患的监测预报技术探讨.《中国地球物理学会年刊》

张梁等.1998.《地质灾害灾情评估理论与实践》.北京:地质出版社

张咸恭等.1986.《专门工程地质学》.北京:地质出版社

张保祥,杨宏,刘性杰等.1997.电测深剖面法在孤东油田海堤质量探测中的应用.《勘查科学技术》

曾提等.1997.地质雷达在湖南邵阳金江水库坝体隐患探测中的应用研究.《物探与化探》

随便看

 

离鸟网收录3541549条中英文词条,其功能与新华字典、现代汉语词典、牛津高阶英汉词典等各类中英文词典类似,基本涵盖了全部常用中英文字词句的读音、释义及用法,是语言学习和写作的有利工具。

 

Copyright © 2004-2024 vtrois.com All Rights Reserved
更新时间:2026/4/9 3:09:51