网站首页  词典首页


请输入您要查询的字词:

 

字词 大肠菌群的测定
类别 中英文字词句释义及详细解析
释义

大肠菌群的测定


大肠菌群系指一群能发酵乳糖,产酸产气,需氧和兼性厌氧的革兰氏阴性无芽孢杆菌。该菌主要来源于人畜粪便,故以此作为粪便污染指标来评价食品的卫生质量,推断食品有否污染肠道致病菌的可能。

食品中大肠菌群数系以100mL(g)检样内大肠菌群最可能数(MPN)表示。

1.培养基和试剂

(1)乳糖胆盐发酵管 按本节九 (三)4规定。

(2)伊红美蓝琼脂平板 按本节九 (三)10规定。

(3)乳糖发酵管 按本节九 (三)5规定。

(4)EC肉汤 按本节九 (三)6规定。

(5)磷酸盐缓冲液 按本节九 (二)8规定。

(6)生理盐水。

(7)革兰氏染色液 按本节九 (一)1规定。

2.检验程序

大肠菌群检验程序见图4-2-9。

图4-2-9 大肠菌群检验程序

3.操作步骤

(1)检样稀释。用1mL灭菌吸管吸取1∶10稀释液1mL,注入含有9mL灭菌生理盐水或其他稀释液的试管内,振摇试管,混合均匀,做成1∶100的均匀稀释液。

另取1mL灭菌吸管,按上述操作顺序,做10倍递增稀释液,每递增稀释一次,即换用一支1mL灭菌吸管。

根据食品卫生标准要求或对检样污染情况的估计,选择3个稀释度,每个稀释度接种3管。

(2)乳糖发酵试验。将待检样品接种于乳糖胆盐发酵管内,接种量在1mL以上者,用双料乳糖胆盐发酵管,1mL及1mL以下者,用单料乳糖胆盐发酵管。每一稀释度接种3管,置36℃±1℃温箱内,培养24h±2h,如所有乳糖胆盐发酵管都不产气,则可报告为大肠菌群阴性,如有产气者,则按下列程序进行。

(3)分离培养。将产气的发酵管分别转种在伊红美蓝琼脂平板上,置36℃±1℃温箱内,培养18~24h,然后取出,观察菌落形态,并做革兰氏染色和证实试验。

(4)证实试验。在上述平板上,挑取可疑大肠菌群菌落1~2个进行革兰氏染色,同时接种乳糖发酵管,置36℃±1℃温箱内,培养24h±2h,观察产气情况。凡乳糖管产气、革兰氏染色为阴性的无芽孢杆菌,即可报告为大肠菌群阳性。

(5)报告。根据证实为大肠菌群阳性的管数,查MPN检索表,报告每100mL(g)大肠菌群的MPN值。

4.粪大肠菌群

(1)用接种环将所有产气的乳糖胆盐发酵管培养物[见(2)条]转种于EC肉汤管内,置44.5℃±0.2℃水浴箱内(水浴箱内的水面应高于EC肉汤液面),培养24h±2h,经培养后,如所有EC肉汤管均不产气,则可报告为阴性;如有产气者,则将所有产气的EC肉汤管分别转种于伊红美蓝琼脂平板上,置36℃±1℃温箱内,培养18~24h,凡平板上有典型菌落者,则证实为粪大肠菌群阳性。

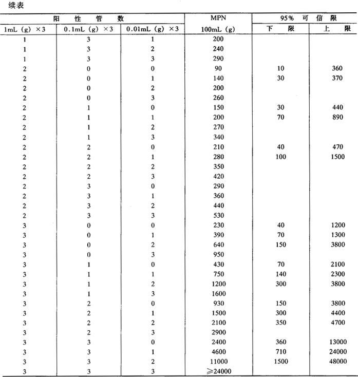
(2)结果报告 根据证实为粪大肠菌群的阳性管数,查MPN检索表,报告每100mL(g)粪大肠菌群的MPN值,如表4-2-3。

表4-2-3 大肠菌群最可能数(MPN)检索表

注:(1)本表采用3个稀释度〔1mL(g)、0.1mL(g)和0.01mL(g)〕,每稀释度3个管。

(2)表内所列检样量如改用10mL(g)、1mL(g)和0.1mL(g)时,表内数字应相应降低10倍;如改用0.1mL(g)、0.01mL(g)和0.001mL(g)时,则表内数字应相应增加10倍,其余可类推。

随便看

 

离鸟网收录3541549条中英文词条,其功能与新华字典、现代汉语词典、牛津高阶英汉词典等各类中英文词典类似,基本涵盖了全部常用中英文字词句的读音、释义及用法,是语言学习和写作的有利工具。

 

Copyright © 2004-2024 vtrois.com All Rights Reserved
更新时间:2026/4/9 4:51:45