网站首页  词典首页


请输入您要查询的字词:

 

字词 天然苋菜红
类别 中英文字词句释义及详细解析
释义

天然苋菜红


编码 GB 08.130

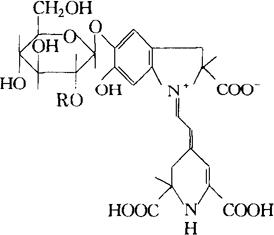
化学结构 主要着色成分为(Ⅰ)苋菜苷(Amaranthin)和(Ⅱ)甜菜苷(Betanine)。

(Ⅰ)R=β-D-吡喃葡萄糖基糖醛酸

C30H34O19N2 相对分子质量 726(苋菜苷,Amaranthin)

(Ⅱ)R=H

C24H26O13N2 相对分子质量 550.48(甜菜苷,Betanine)

性状 紫红色无定形干燥粉末,易吸湿,易溶于水和稀乙醇溶液。溶液在pH小于7时呈紫红色,澄明,不溶于无水乙醇、石油醚等有机溶剂。对光、热的稳定性较差,铜、铁等金属离子对其稳定性有负影响。pH大于9.0时,本品溶液由紫红色转变为黄色。

制法 以红苋菜(Amaranthus tricolor L.)可食部分为原料,经水提取、乙醇精制获得的浓缩液。通过干燥处理,即可获得紫红色干燥粉末状成品。

质量标准

鉴别方法

(1)本品易溶于水及稀乙醇溶液,不溶于无水乙醇、乙醚、石油醚等有机溶剂。

(2)本品水溶液在pH9以上时,迅速由紫红色转变为黄色。

(3)将本品溶于pH5.4的乙酸-乙酸钠缓冲液中时,最大吸收峰波长为535nm附近。

(4)以层析滤纸作固定相,甲醇∶水∶正丁醇=60∶30∶10(体积比)为移动相,上行法作层析展开时,其主要斑点紫红色Rf值平均为0.46±0.03,有拖尾。

毒理学依据(华西医科大学毒理学试验)

1.LD50 大鼠口服大于10g/kg(bw)。

小鼠口服10.8g/kg(bw)(雌性);

小鼠口服12.6g/kg(bw)(雄性)。

2.致突变试验 Ames试验,小鼠骨髓微核试验及雄小鼠精子畸形试验,未见致突变作用。

使用 着色剂。

1.使用注意事项 使用时应在pH小于7范围,且避免长时间受热。

2.使用范围及使用量 我国《食品添加剂使用卫生标准》(GB 2760-1996)规定:可用于果汁(味)饮料类、碳酸饮料、配制酒、糖果、糕点上彩装、红绿丝、青梅、山楂制品、染色樱桃罐头(系装饰用,不宜食用)、果冻,最大使用量0.25g/kg。

随便看

 

离鸟网收录3541549条中英文词条,其功能与新华字典、现代汉语词典、牛津高阶英汉词典等各类中英文词典类似,基本涵盖了全部常用中英文字词句的读音、释义及用法,是语言学习和写作的有利工具。

 

Copyright © 2004-2024 vtrois.com All Rights Reserved
更新时间:2026/4/9 11:35:04