网站首页  词典首页


请输入您要查询的字词:

 

字词 姜黄素
类别 中英文字词句释义及详细解析
释义

姜黄素


别名 姜黄色素

编码 GB 08.132;INS 100(i);C.I.(1975)75300

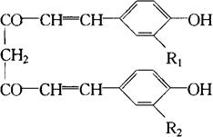
化学结构 主要由以下三个组分组成:姜黄色素(Ⅰ)、脱甲氧基姜黄色素(Ⅱ)、双脱甲氧基姜黄色素(Ⅲ)

(Ⅰ)R1=R2=OCH3

C21H20O6 相对分子质量 368.39

(Ⅱ)R1=OCH3,R2=H

C20H18O5 相对分子质量 338.39

(Ⅲ)R1=R2=H

C19H16O4 相对分子质量 308.39

性状 橙黄色结晶性粉末,具有姜黄特有的香辛气味,熔点约183℃。溶于乙醇和丙二醇,易溶于水、乙酸和碱性溶液,不溶于冷水和乙醚。中性或酸性条件下呈黄色,碱性条件下呈红褐色。对光十分敏感,日光照射使黄色迅速变浅,但不影响其色调。对热较稳定。与金属离子,尤其是铁离子可以结合成螯合物,导致变色。易受氧化而变色,但耐还原性好,着色力强,尤其对蛋白质着色力强。

制法 将蘘荷科多年生草本植物姜黄(curcuma long L.)的地下根茎洗净、干燥、粉碎后,用乙醇等极性有机溶剂抽提、过滤、浓缩结晶精制而得。

质量标准

鉴别方法

1.呈色反应

(1)称取0.1g本品,溶于5mL0.05mol/L NaOH溶液中,呈玫瑰红色。滴加1mol/L HCl溶液使其达到酸性时,溶液由玫瑰红色转变为亮黄色。

(2)称取0.10g本品,溶于5mL95%乙醇溶液中,呈纯黄色,微带绿色荧光,再加少量浓H2SO4,转变为玫瑰红色。

2.最大吸收峰 称取本品0.1g,溶于5mL95%乙醇溶液中,并定容至100mL,再用95%乙醇稀释100倍后,溶液在425nm附近有最大吸收峰。

毒理学依据

ADI 暂订0~1mg/kg(bw)(FAO/WHO,1995)

使用 着色剂。

1.使用注意事项

(1)将本品先用少量95%乙醇溶解后,再加水配制成所需浓度的溶液使用。

(2)如欲用于透明饮料,需先将本品乳化后再行使用。

(3)本品及其溶液耐光性差,注意避光保存。

2.使用范围及使用量

(1)我国《食品添加剂使用卫生标准》(GB 2760-1996)规定:可用于糖果、冰淇淋、碳酸饮料、果冻,最大使用量0.01g/kg。

(2)实际使用参考:亦有用于萝卜干和咖喱粉中。

随便看

 

离鸟网收录3541549条中英文词条,其功能与新华字典、现代汉语词典、牛津高阶英汉词典等各类中英文词典类似,基本涵盖了全部常用中英文字词句的读音、释义及用法,是语言学习和写作的有利工具。

 

Copyright © 2004-2024 vtrois.com All Rights Reserved
更新时间:2026/4/7 19:31:51