网站首页  词典首页


请输入您要查询的字词:

 

字词 实验室检查
类别 中英文字词句释义及详细解析
释义

实验室检查


肉新鲜度的感官检查虽然简单易行,也相当灵敏准确,但不能否认此种检查方法有一定的局限性,人的感觉器官也有一定的限度,因此在许多情况下,除了进行感官检查外,尚需进行实验室检查。

(一)挥发性盐基氮的测定

动物性食品由于酶和细菌的作用,在腐败过程中,蛋白质发生分解而产生氨以及胺类等碱性含氮物质。这些物质在碱性环境中具有挥发性,故称为挥发性盐基氮,测定肉品中的挥发性盐基氮,有助于判定肉品的质量。常用的测定方法有半微量定氮法和微量扩散法。

半微量定氮法

1.原理

在氧化镁的弱碱性环境中使碱性含氮物质,即挥发性盐基氮游离并被蒸馏出来,被含指示剂的硼酸溶液吸收,然后用标准酸滴定,计算其含量,以确定新鲜度的等级。

2.仪器

(1)半微量定氮器。

(2)微量滴定管:最小分度0.01mL。

(3)其它:研钵,250mL三角烧瓶,150mL烧杯,6cm漏斗,滤纸等。

3.试剂

(1)1%氧化镁混悬液。

(2)吸收液:2%硼酸溶液。

(3)甲基红指示液:0.2%乙醇溶液。

(4)次甲基蓝指示液:0.1%乙醇溶液。

临用时将甲基红和次甲基蓝指示液等量混合为混合指示液。

(5)0.0100mol/LHCl标准液或0.0100mol/L(1/2H2SO4)标准溶液。

4.测定方法

将样品肉除净脂肪、筋腱和骨后剪碎搅匀,称取10g,置于锥形瓶中,加100mL水,间歇摇动,浸渍30min后过滤,滤液放入冰箱中备用。

预先将盛有10mL吸收液并加有5~6滴混合指示液的锥形瓶置于冷凝管下端,并使其下端插入锥形瓶内吸收液的液面下。吸取5mL上述样品滤液加入蒸馏器反应室内,加5mL1%氧化镁混悬液,迅速盖塞,并加水于小玻杯中作水封以防漏气,通入蒸汽,待蒸汽充满蒸馏器内时即关闭蒸汽出口管,由冷凝管出现第一滴冷凝水开始计时,蒸馏5min即停止。吸收液用0.0100mol/L盐酸标准溶液或硫酸标准溶液滴定,终点至蓝紫色。同时用无氨蒸馏水代替样品液做试剂空白试验。

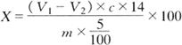
5.计算

式中 X——样品中挥发性盐基氮的含量,mg/100g

V1——测定肉样液消耗盐酸或硫酸标准溶液体积,mL

V2——试剂空白消耗盐酸或硫酸标准溶液体积,mL

c——盐酸或硫酸标准溶液的浓度,mol/L

14——1/2 N2的摩尔质量,g/mol

m——样品质量,g

微量扩散法

1.原理

挥发性含氮物质可在碱性溶液中释出,37℃时在扩散皿中挥发后被吸收液吸收,用标准酸滴定,计算含量。

2.仪器

(1)标准型扩散皿(加磨砂厚玻璃盖)。

(2)微量滴定管最小分度0.01mL。

3.试剂

(1)饱和碳酸钾溶液:称取50g碳酸钾,加水50mL,微加热,使用时取上清液。

(2)水溶性胶:称取10g阿拉伯胶,加水10mL,再加5mL甘油及5g无水碳酸钾(或无水碳酸钠),摇匀。

(3)吸收液、混合指示剂、0.0100mol/L HCl或0.0100mol/L(1/2 H2SO4)标准溶液同半微量定氮法。

4.测定方法

将水溶性胶涂于扩散皿的边缘,在皿中央室内加入1mL吸收液及1滴混合指示液。在皿外室一侧加入1.00mL如半微量定氮法要求制备的样液,另一侧加入1mL饱和碳酸钾溶液,注意勿使外室两侧的液体接触,立即盖好;密封好后将皿在桌面上轻轻水平摇动,使外室的样液与碱液混合,然后于37℃温箱内放置2h;揭去盖,用0.0100mol/L盐酸或硫酸标准溶液滴定,终点呈蓝紫色。同时做试剂空白试验。

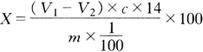
5.计算

式中 X、V1、V2、c、14、m同半微量定氮法计算公式。

6.判定标准

按食品卫生标准的要求,冻猪肉、冻牛肉、冻羊肉、冻鸡肉、鲜猪肉、鲜兔肉、鲜鸡肉的挥发性盐基氮(mg/100g)一级鲜度应≤15,二级鲜度应≤25。

(二)pH测定

1.原理

屠宰后的畜肉,由于肌糖原的无氧酵解和ATP的分解,乳酸和磷酸的含量增加,pH下降。刚宰后的热鲜肉pH约为7.0;宰后1hpH降至6.2~6.3;经24h又降至5.6~6.0,并一直维持到肉腐败分解之前。肉类蛋白质被微生物的蛋白分解酶分解成氨及胺类等碱性含氮物,使pH升高。从理论上分析,测定肉的pH可以判定肉的新鲜程度。但是,宰后畜肉的pH受多种因素的影响,如采样部位、宰前的健康状况、疲劳、衰弱和饥饿,以及外界物理因素的强烈刺激所产生的应激反应等。故在实际测定时,往往与肉的新鲜程度不成对应关系,故pH仅可作为参考值。但对鉴别PSE猪肉和DFD猪肉仍不失为一个重要的指标。

2.器材

酸度计或pH比色剂。

3.测定方法

肉浸液的制备:从待检肉的深部剪取肉样10g,置于烧杯中剪碎,加入蒸馏水100mL,浸泡30min,不时搅拌,然后过滤于另一烧杯中备用。

4.判定标准

记录所测得的样品的pH,与样品的其它新鲜度指标作对照,检查二者有无对应关系。国家标准中未明确肉类新鲜度的pH指标,现列出参考数值。

新鲜肉:pH5.8~6.2。

次鲜肉:pH6.3~6.6。

变质肉:pH6.7以上。

(三)粗氨测定(纳氏法)

1.原理

肉类腐败分解后产生的游离氨与胺盐等碱性含氮物质能与碘化汞和碘化钾的复盐(纳氏试剂)发生反应,生成碘化二亚汞铵的黄色沉淀,使肉浸液染成黄色,黄色加深程度及沉淀量的多少与肉的腐败程度成正比,据此以判定肉的新鲜度,并可作氨及铵盐等碱性含氮物质的粗略定量。

反应式如下:

2.试剂

纳氏(Nessler)试剂:称取10g碘化钾溶于10mL热蒸馏水中,再加入热的升汞饱和溶液至出现红色沉淀。过滤后向滤液中加入碱溶液(30g氢氧化钾溶于80mL水中),并加入1.5mL上述升汞饱和溶液。待溶液冷却后,加蒸馏水至200mL,贮于棕色玻璃瓶内,置暗处密闭保存。使用时取其上清液部分。

3.测定方法

取试管两支,一支加入1mL蒸馏水,另一支加入肉浸液。在两管内各加入1~10滴纳氏试剂。每加一滴后振荡试管,比较两管液体的颜色和透明度,观察沉淀发生情况。用蒸馏水管作对照是因为纳氏试剂带黄色。

4.判定标准

表5-2-3 纳氏试剂反应结果判定表

(四)硫化氢反应

1.原理

肉类在腐败过程中,含硫氨基酸进一步分解,释放出硫化氢。硫化氢在碱性条件下与可溶性铅盐反应,生成黑色的硫化铅,以证明肉的变质程度。反应式如下:

2.试剂

醋酸铅碱性溶液:10%醋酸铅溶液中加入10%氢氧化钠溶液,至析出白色沉淀时为度。

3.测定方法

将待检肉剪碎至绿豆大小,装入100mL锥形瓶中,使之达瓶容积的1/3。取一滤纸条,用碱性醋酸铅溶液湿润,稍干后将其小心插入锥形瓶,勿使纸条触及肉样,恰好在肉样上方1~2cm处悬吊,立即将纸条另一端贴在瓶口的一侧并以瓶塞固定之。在室温下静置15min后观察滤纸条的颜色变化。

4.判定标准

滤纸无变化:新鲜肉。

滤纸条边缘呈淡褐色:次鲜肉。

滤纸条下部呈褐色或黑褐色:变质肉。

(五)过氧化物酶反应

1.原理

新鲜的健康畜禽肉中含有过氧化物酶,在不新鲜的肉、严重病理状态的肉或濒死畜禽肉中过氧化物酶显着减少,甚至完全缺乏。

过氧化物酶具有能从过氧化物中分解出氧的特性。过氧化氢在过氧化物酶的作用下,分解释放出新生态氧,使联苯胺指示剂氧化为二酰亚胺代对苯醌。后者与尚未氧化的联苯胺形成淡蓝色或青绿色化合物,经过一定时间后变成褐色。反应如下:

2.试剂

(1)1%过氧化氢溶液 取一份30%过氧化氢溶液与两份水混合即成(临用时配制)。

(2)0.2%联苯胺乙醇溶液 称取0.2g联苯胺溶解于100mL95%乙醇中,置棕色瓶内保存,有效期不超过一个月。

3.测定方法

吸取2mL肉浸液(1∶10)于试管中,滴加4~5滴0.2%联苯胺乙醇溶液,充分振荡后加新配制的1%过氧化氢溶液3滴,稍振荡,观察结果。同时做空白对照试验。

4.判定标准

(1)健康畜禽新鲜肉 肉浸液立即或在数秒钟内呈蓝色或蓝绿色。

(2)次鲜肉,过度劳累、衰弱、患病、濒死期或病死的畜禽肉 肉浸液无颜色变化,或在稍长时间后呈淡青色并迅速转变为褐色。

(3)变质肉 肉浸液颜色无变化,或呈浅蓝色、褐色。显色与否或显色强弱,依肉中微生物污染的类型和强度而定。

(六)硫酸铜肉汤反应

1.原理

健康畜禽肉的肉汤中的蛋白质,主要以两性离子形式存在。在一定的溶液中,总电荷为零(正负电荷相等),此溶液的pH称为该蛋白质的等电点(pI)。在电泳中,蛋白质既不向阴极移动,也不向阳极移动,尽管有电解质参加反应,但不能与其结合,因而溶液仍澄清透明。

病、死畜禽肉,由于生前体内组织蛋白已发生了不同程度的分解,初期分解产物为蛋白胨、多肽等,使被检肉汤中的pH高于健康畜禽肉,即pH>pI,而滤液中的蛋白胨、多肽等大多又以阴离子形式存在,因此,在电解质(硫酸铜)的参与下,可使溶液中的阴离子与电离后的金属离子(Cu2+)作布朗运动时互相碰撞而螯合,形成难溶于水的蛋白盐。

2.试剂

5%硫酸铜溶液。

3.操作方法

(1)肉汤制备 称取剪碎肉样1份,置锥形瓶中,加水3份,搅拌均匀后加盖,置水浴中煮沸10min,趁热过滤,冷却至室温用。

(2)取上述肉汤滤液2mL置试管中,加5%硫酸铜溶液5滴,混匀,静置,观察反应。同时作空白对照试验。

需要指出的是,在实验中我们曾用不经煮沸的1∶4浓厚肉浸液,得到了与上述反应相同的结果。

4.判定标准

(1)健康畜禽新鲜肉 肉汤澄清透明,无絮状沉淀。

(2)病、死畜禽肉 肉汤中出现絮状沉淀或呈胶冻状。

随便看

 

离鸟网收录3541549条中英文词条,其功能与新华字典、现代汉语词典、牛津高阶英汉词典等各类中英文词典类似,基本涵盖了全部常用中英文字词句的读音、释义及用法,是语言学习和写作的有利工具。

 

Copyright © 2004-2024 vtrois.com All Rights Reserved
更新时间:2026/4/9 5:58:36