网站首页  词典首页


请输入您要查询的字词:

 

字词 富裕县
类别 中英文字词句释义及详细解析
释义

富裕县


位于东经124°0′~125°2′、北纬47°18′~48°02′之间。

“富裕”一名是“乌裕”的谐音,来自乌裕尔河。

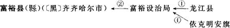
①1929年由龙江县析置富裕设治局,包括依克明安旗的部分地区。②1933年6月改富裕设治局为富裕县。

1912年隶黑龙江省。1932年隶伪满黑龙江省。1934年隶伪满龙江省。1945年光复后隶嫩江省。1949年复隶黑龙江省。

富裕设治局 见784页“富裕县”。

富阳县 见604页“桐庐县”、783页“富阳市”。

富顺县 见265页“自贡市”、784页“富顺县”。

富甯县 见783页“富宁县”。

随便看

 

离鸟网收录3541549条中英文词条,其功能与新华字典、现代汉语词典、牛津高阶英汉词典等各类中英文词典类似,基本涵盖了全部常用中英文字词句的读音、释义及用法,是语言学习和写作的有利工具。

 

Copyright © 2004-2024 vtrois.com All Rights Reserved
更新时间:2026/4/7 0:53:38