网站首页  词典首页


请输入您要查询的字词:

 

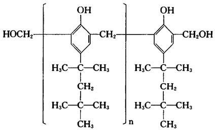
字词 对叔辛基苯酚甲醛树脂
类别 中英文字词句释义及详细解析
释义

对叔辛基苯酚甲醛树脂


【结构式】:

【释文】:

性质 黄色至棕色透明树脂状固体。质脆。相对密度1.04。熔点65~75℃。溶于汽油、煤油、乙醚、丙酮、松节油、乙酸乙酯、硅油、苯、甲苯等溶剂,不溶于水。可燃,燃烧温度980℃,粉尘、空气混合物有爆炸危险,燃烧浓度下限5.2g/m2。微毒。

用途 本品可作为丁基橡胶硫化剂,性能与对叔丁基苯酚甲醛树脂相似,但硫化速度较快,硫化胶的耐热性更高,压缩永久变形更小。

国内生产厂 常州市橡胶厂助剂分厂

随便看

 

离鸟网收录3541549条中英文词条,其功能与新华字典、现代汉语词典、牛津高阶英汉词典等各类中英文词典类似,基本涵盖了全部常用中英文字词句的读音、释义及用法,是语言学习和写作的有利工具。

 

Copyright © 2004-2024 vtrois.com All Rights Reserved
更新时间:2026/4/8 0:31:00