网站首页  词典首页


请输入您要查询的字词:

 

字词 导数
类别 中英文字词句释义及详细解析
释义

导数


导数的定义 设函数y=f(x)在点x0的某邻域内有定义,当自变量x在x0处取得增量△x时,相应的函数增量为

△y=f(x0+△x)-f(x0).

如果

存在,则称函数y=f(x)在点x0处可导,并称这个极限为函数y=f(x)在点x0处的导数,记为

也可记作

导数的几何意义 f′(x0)表示曲线y=f(x)在点M(x0,f(x0))处切线的斜率,即

f′(x0)=tanα (α为倾角)(见图3.1).

图3.1

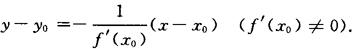
切线公式 y-y0=f′(x0)(x-x0).

法线公式

当f′(x0)=0时,法线方程为x=x0

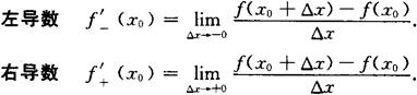
定理 函数f(x)在点x0处可导左导数f′(x0)和右导数f′+(x0)都存在且相等.

开区间(a,b)内可导 如果函数y=f(x)在开区间(a,b)内的每点处都可导,则称函数f(x)在开区间(a,b)内可导.

闭区间[a,b]上可导 如果函数f(x)在开区间(a,b)内可导,且f′+(a)及f′-(b)都存在,则称f(x)在闭区间[a,b]上可导,

导函数定义 对于任一x∈I,都对应着f(x)的一个确定的导数值,这样就构成了一个新的函数.这个函数叫做原来函数y=f(x)的导函数,记作

可导与连续的关系定理 函数f(x)在点x0处可导,则f(x)在点x0处连续.但逆命题不成立.

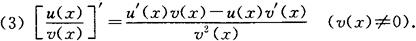
函数和、差、积、商的求导法则 设函数u(x),v(x)均可导,则u(x)±v(x),u(x).v(x),均可导,且

(1)[u(x)±v(x)]′=u′(x)±v′(x);

(2)[u(x)·v(x)]′=u′(x)v(x)+u(x)v′(x);

反函数的导数 如果函数x=φ(y)在某区间Iy内单调、可导且φ′(y)≠0,则它的反函数y=f(x)在对应区间Ix内也可导,并且

复合函数的求导法则(链式法则) 如果函数u=φ(x)在点x0处可导,y=f(u)在点u0=φ(x0)处可导,则复合函数y=f[φ(x)]在点x0处可导,且其导数为

常用导数公式

(c)′=0;

(sinx)′=cosx;

(cosx)′=-sinx;

(tanx)′=sec2x;

(cotx)′=-csc2x;

(secx)′=secxtanx;

(cscx)′=-cscxcotx;

(xμ)′=μxμ-1

(ax)′=axlna(a>0,且a≠1);

(sinhx)′=coshx;

(coshx)′=sinhx;

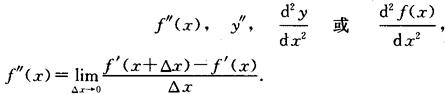
高阶导数定义 如果导函数f′(x)仍然可导,则称f′(x)的导数是函数y=f(x)的二阶导数,记作

类似地,二阶导数的导数称为三阶导数,记作

三阶导数的导数称为四阶导数,记作

函数f(x)的n-1阶导数的导数叫做n阶导数,记作

二阶和二阶以上的导数统称为高阶导数.相应地,f(x)称为零阶导数,f′(x)称为

一阶导数.

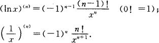
常用高阶导数公式

(ax)(n)=ax·lnna (a>0,且a≠1);

(ex)(n)=ex

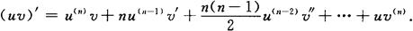
n阶导数的莱布尼茨(Leibniz)公式

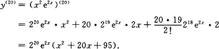
例 y=x2e2x,求y(20)

解 设u=e2x,v=x2,则

u(k)=2ke2x (k=1,2,…,20),

v′=2x,v″=2,v(k)=0 (k=3,4,…,20)

代入莱布尼茨公式,得

隐函数求导法 用复合函数求导法直接对方程F(x,y)=0两边求导.

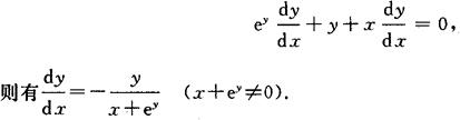
例 求由方程ey+xy-e=0所确定的隐函数y的导数

解 方程两端对x求导,得

对数求导法 先在方程两边取对数,然后利用隐函数的求导方法求出导数.

对数求导法适用范围 多个函数相乘及幂指函数u(x)v(x)的情形.

例 f(x)=u(x)v(x) (u(x)>0),求f′(x).

解 因为 lnf(x)=v(x)·lnu(x),

所以

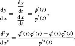
由参数方程所确定的函数的微分法

曲线的切线倾斜角与切点和极点的连线间的夹角关系 设已给曲线的极坐标方程为r=r(θ),则(见图3.2).

图3.2

相关变化率 设x=x(t)及y=y(t)都是可导函数,变量x与y间存在某种关系,从而变化率之间也存在一定关系.这两个相互依赖的变化率称为相关变化率.

随便看

 

离鸟网收录3541549条中英文词条,其功能与新华字典、现代汉语词典、牛津高阶英汉词典等各类中英文词典类似,基本涵盖了全部常用中英文字词句的读音、释义及用法,是语言学习和写作的有利工具。

 

Copyright © 2004-2024 vtrois.com All Rights Reserved
更新时间:2026/5/25 7:51:25