网站首页  词典首页


请输入您要查询的字词:

 

字词 小麦条锈病测报调查方法
类别 中英文字词句释义及详细解析
释义

小麦条锈病测报调查方法


小麦条锈病[Stripe Rust,Yellow Rust(Puccinia striiformis West)]是我国小麦生产上最重要的病害,发生面积广,发生区域包括西北、华北、长江中、下游和西南各省(自治区),遍及我国各主要麦区。流行成灾频率高,为害十分严重。

小麦条锈菌在平原冬麦区和海拔较低的冬麦区越冬。春夏间侵染为害,至小麦生长中、后期病菌夏孢子被风吹送至高寒麦区的晚熟春麦或自生麦苗上繁殖蔓延越过夏季,到秋季又随气流吹向平原冬麦区和海拔较低的冬麦区的小麦秋苗上侵染为害,并以潜伏菌丝或在冬季气温较高的地方以不断侵染方式过冬,于次年早春麦苗返青后重新活动,长出夏孢子再传播至高寒麦区,如此往返传播,完成周年循环。春季在黄淮冬麦区,条锈菌越冬后,早春当旬平均温度上升到2~3℃,旬平均最高温度上升到8~9℃,越冬病叶中潜育菌丝体开始复苏、显症和产孢,这一过程持续15~30天。在气候等条件合适时,一代侵染可使病情(或菌量)增长数百倍,在一个流行季节中,经多代再侵染可增长一千万倍;一次远程传播可引致几百公里以外的地区突然全面发病。

1 主要影响因子

1.1 菌源和菌源量

小麦条锈菌是专化性很强的专性寄生菌,存在着很多对不同寄主品种侵染力不同的生理小种。小种类型和比例组成因受小麦品种的选择作用,随地区和年度变化着。由于品种的选择作用,造成病菌产生致病力更强的优势小种的产生,是造成小麦品种抗性丧失和条锈病大流行的根本原因。

在小麦条锈病越冬区,秋苗病情重,菌量大,一般翌年春季发病也重。但也不完全是正相关,还要看越冬情况和春季气象条件对锈病早春流行是否有利。据估算,小麦条锈病在早春雨露较多的常发区,大面积初始菌量病叶率为0.0001%,就有可能引起流行;而在春旱地区或春旱年份,初始菌量病叶率达到0.001%~0.01%,才能引起流行。

1.2 气候条件

在感病品种和菌源量具备的前提下,气象条件是小麦条锈病流行的主导因素。降雨是小麦叶锈病发生与流行的首要因子。以气温、降水和结露等对条锈病的发生流行最为关键,以结露最为有利。小麦条锈病为低温病害,条锈菌对低温有一定适应能力,但不耐高温,小麦条锈病侵入最适温度为7~13℃,发育适温为13~16℃。多数地区以降水对条锈病流行影响最大。在多雨、多雾或田间湿润结露情况下,条锈病容易发生,降水越多,病情越重。

锈菌夏孢子萌发阶段不需要光照,而侵入则需要光照。弱光条件下潜育期较强光照条件下可延长1倍。

1.3 品种布局和抗病性

小麦品种存在抗性差异。抗性品种对锈菌生理小种有明显专化性。某一品种只对一部分小种有效,表现为抵抗和免疫,而对另外部分小种或以后产生的小种表现为感病甚至高度感病。种植抗病品种,可减轻病源初始菌量,能有效抑制锈病流行;而大面积连片种植同一抗原基因的品种,抗性易丧失,病害易大面积流行。

2 调查项目和方法

2.1 病情普查

病情普查分别在小麦秋苗期、返青拔节期和生长后期进行。

2.1.1 秋苗期

2.1.1.1 调查时间 小麦条锈病越冬区在越冬前调查;非越冬区和冬季繁殖区在秋苗发病盛期调查。同一地区各年调查时间应大致相同。

2.1.1.2 调查田 依据小麦栽培区划和常年秋苗发病情况选定若干代表性区域。各代表性区域内选感病品种早播和适期播种麦田调查。调查田块数量原则上依据距越夏菌源远近和常年秋苗发病普遍程度确定。距越夏菌源较近,秋苗发病较普遍,调查田块可少些,反之应多些,一般不少于10~30块地。每田块面积应大于334m2

2.1.1.3 调查方法 若条锈病处于点片发生期,且田块面积在667m2以上,则5点取样,每点实查667m2,田块面积不足667m2,则全田实查。实查采用低头慢步踏查(观察幅1m)和蹲下细查相结合的方法,检查传病中心和单片病叶发生情况。另外,每块田还需选取1m行长(条播田)或0.5m2(撒播田)代表性样点,计算叶片数目用以估计叶片密度(片/667m2)。

若全田已普遍发病,则取5个样点,每点2m2,随机检查200个叶片的发病情况。

2.1.1.4 记载项目 按小麦条锈病早期普查表(表4-97)的项目,区分调查田点片发病或普遍发病两种情况分别记载。表内传病中心和单片病叶密度据实查面积内的数量折算,传病中心平均面积和单片病叶平均病叶片数取实查诸传病中心的平均值。

表4-97 小麦条锈病早期普查表

另外,还需由发病田块数和调查田块总数计算病田率,记入小麦条锈病早期普查表的右下角栏内。

2.1.2 返青拔节期 在小麦返青后15~20天调查,若未发病,则应间隔一段时间后再进行调查。小麦无明显越冬现象的地区在早春病情开始上升后进行。以外地菌源为主,春季发病较迟的地区,普查时间至拔节期进行。调查田块、调查方法、记载项目和表格与秋苗期普查相同。

2.1.3 生长后期

2.1.3.1 调查时间 在小麦乳熟期或当年病情停止发展前进行普查。

2.1.3.2 调查田 主栽品种调查早、中、晚播各类麦田或具代表性栽培条件的麦田。田块数按品种的栽培面积酌定,一般不少于10块地。栽培面积较小的品种只调查代表性麦田。

2.1.3.3 调查方法 每块调查田5点取样,每点2m行长或1m2,各点随机检查100个叶片(旗叶或旗下一叶)。计算病叶率、平均严重度、判定反应型。

2.1.3.4 记载项目 按小麦条锈病后期普查表(表4-98)的项目分品种记载。表4-98中类型田系按当地造成品种发病差异的主要栽培用环境因子(地形、地势、播期等),选取各类代表性田块。品种总平均的病叶率和严重度是该品种所有调查田块加权平均值。

表4-98 小麦条锈病后期普查表

2.2 病情系统调查

2.2.1 调查时间 在小麦条锈病非越冬区和潜育越冬区由春季发病后开始定点调查。秋苗期至春季条锈病能持续发展为害的地区,由秋苗发病后开始定点调查。

2.2.2 查田 选发病条件较好、发病较早的代表性感病品种麦田作为系统调查田。若当地普遍种植抗病品种,难以选定系统调查田,则应预先在发病条件较好、观察方便的地块播种感病品种,建立测报观测圃,用于系统调查。

2.2.3 调查方法 在系统调查田或测报观测圃内标定3个已有病叶的调查点,每点2m行长(条播地区)或1m2(撒播地区),每隔10天调查1次,至小麦成熟期或条锈病病情停止增长为止。发病初期,需检查点内全部叶片发病情况。当病叶率达5%以上时,每点查20个叶片。并按小麦条锈病定点系统调查表(表4-99)中的项目进行记载。

表4-99 小麦条锈病定点系统调查表

2.3 越夏区调查

本项调查仅在小麦条锈病主要越夏地区实施。

2.3.1 调查时间 依越夏地区不同,可在每年8月下旬或者越冬寄主(晚熟春麦、冬麦、自生麦苗)发病盛期进行。

2.3.2 调查田 每年按一定的巡回路线,选晚熟春、冬麦感病品种代表田块和滋生自生麦苗的麦茬复种田、休闲田作为调查田。调查田块数按各类型田块的实际面积酌定。但每个调查地点实查的自生麦苗田块数应不少于10块,总面积不少于5×667m2

2.3.3 调查方法 晚熟春、冬麦调查田可目测估计条锈现发病情况,自生麦苗调查田采取踏查估计和取样细查相结合的方法估计自生麦苗密度和病情。并按小麦条锈病越夏调查表(表4-100)项目记载。

表4-100 小麦条锈病越夏调查表

3 预测预报方法

主要根据本地或异地菌源量、本地区病害流行关键因素,如品种布局,结合当地天气预报等进行综合分析,预测发生程度和时期。

3.1 冬前预测

如秋苗发病普遍,感病品种种植面积大,冬季气温偏高,气象预报第二年3~5月份多雨,即可预报病害有偏重流行的可能。

3.2 早春预测

在小麦种植的感病品种和存在一定菌源数量的情况下,病害流行关键因素是气候,大部地区降水是最重要的因素。河北提出条锈病流行类型与4月份水分、菌源数量关系如表4-101。

表4-101 河北省预测小麦条锈病流行程度表

甘肃省认为小麦条锈病大流行的条件是感病品种种植面积大、上年秋苗发病严重,气象条件十分有利,并提出预测指标如表4-102。

表4-102 甘肃省小麦条锈病流行预测指标

注:冬季积雪指数为冬季积雪天数乘最大积雪厚度开方。

4 测报调查参考资料

4.1 术语解释

4.1.1 病叶率 为发病叶片数占调查叶片总数的百分率,用以表示发现的普遍程度。

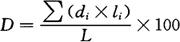
4.1.2 严重度 严重度指病叶上病斑菌丝层覆盖叶片面积占叶片总面积的比率,用分级法表示,设8级,分别用1%、5%、10%、20%、40%、60%、80%、100%表示。对处于等级之间的病情则取其接近值,虽已发病但严重度低于1%,按1%记。对群体叶片,需按下面公式计算病叶平均严重度。平均严重度的使用,在病害初发期可严格计数计算;当病害处于盛发期,且需调查点数繁多时,某点的平均严重度则根据目测估计给出。

式中:

D——病叶平均严重度(%);

di——各严重度级值;

li——各级病叶数;

L——调查总病叶数。

4.1.3 病田率 指调查发现条锈病的田块占全部调查田块的百分率。

4.1.4 传病中心和单片病叶数量 小麦苗期条播麦田单行15cm长度内,撒播麦田15cm2内有3张以上条锈病病叶时即为传病中心。传病中心的病叶由初侵染病叶及其再侵染病叶组成。传病中心数量用密度(个/667m2)、面积(m2)和中心内病叶数目等指标表示。

调查面积内分散孤立出现的病叶称为单片病叶。单片病叶数量仅用密度(片/667m2)表示。

4.2 测报资料收集、汇报和汇总

4.2.1 测报资料收集 小麦播种期和各期播种的小麦面积,灌溉麦田面积及其他栽培管理资料;主要品种栽培面积、生育期和抗锈性;越夏区晚熟春、冬麦栽培面积,自生麦苗发生面积;当地主要气象要素的预测值和实测值。

4.2.2 测报资料汇报 及时汇总调查数据和有关资料,填写小麦条锈病测报数据模式报表,定期报上级业务部门。

4.2.3 资料汇总 对小麦条锈病发生期和发生量进行统计汇总,记载小麦种植和条锈病发生、防治情况,总结发生特点,进行原因分析。

4.3 发生程度分级指标

山东省小麦条锈病的发生程度以当地发病盛期平均病情指数确定,划分为5级,各级指标见表4-103。

表4-103 小麦条锈病发生程度分级指标

4.4 防治指标

对早期出现的发病中心要及时进行集中药剂封锁;大田内病叶率达0.5%~1%时立即进行普治,防止其扩展蔓延。

随便看

 

离鸟网收录3541549条中英文词条,其功能与新华字典、现代汉语词典、牛津高阶英汉词典等各类中英文词典类似,基本涵盖了全部常用中英文字词句的读音、释义及用法,是语言学习和写作的有利工具。

 

Copyright © 2004-2024 vtrois.com All Rights Reserved
更新时间:2026/4/7 14:21:56