网站首页  词典首页


请输入您要查询的字词:

 

字词 小麦白粉病测报调查方法
类别 中英文字词句释义及详细解析
释义

小麦白粉病测报调查方法


小麦、大麦、黑麦和燕麦等麦类作物均有白粉病。我国以小麦和大麦白粉病发生普遍。白粉病菌为专性寄生菌,具寄主专化性,一般情况下小麦白粉病菌与大麦白粉病菌不相互侵染。

小麦白粉病[Blumeria graminis(DC.)Speer]在我国西南、西北、黄淮、华北等广大麦区均有发生,以云南、贵州、四川、重庆等西南地区发生最为严重。

1 主要影响因子

1.1 菌源

在小麦秋苗发病较多的地区,春季发病的菌源主要来自当地的越冬菌。在秋苗发病较少的地区,春季菌源除来自当地越冬菌外,还来自相邻早发病地区。一般来说,大流行年份的菌源主要来自当地的越冬菌。

1.2 气候条件

1.2.1 温度 温度影响春季始病期的早晚、潜育期的长短和病情发展速度以及病害终止期的早迟。早春气温偏高,始病期提前。适宜白粉病发生的温度范围为0~25℃。在此范围内,潜育期随温度增高而缩短。在春季发病后期,如高温来得早,将减轻病害发生和流行程度,超过一定温度(如北京为22℃),病害则停止发展。

1.2.2 雨量 雨量与病害发生和流行的关系较为复杂。空气相对湿度较高对病菌分生孢子的萌发和侵入有利,但雨水太多又不利分生孢子的生成和传播。因此,春季雨量的多少对病害发生的影响因地区而异。在我国南方麦区,常年雨水较多,大气相对湿度较高,如在发病关键时期雨水较多,特别是连续降雨,对病害的发生和流行不利。在北方麦区,常年雨水较少,如降水较多,且分布均匀,则有利病害发生和流行。

如山东滨州刘庆年等研究认为,白粉病与气候因子关系密切。雨日多、雨量分散年份发病重,但雨量过多、过于集中年份发生轻。见《小麦白粉病测报与防治技术研究》(刘万才等编)。

1.2.3 日照 小麦白粉病分生孢子对直射阳光很敏感。春季发病期间,阴天日照少,病害发生重;反之则轻。

1.3 品种抗病性和栽培条件

小麦品种对白粉病抗性存在明显差异。生产上可选择抗性较好的品种种植。

氮肥多、密植病害重;北方麦区水浇地比旱地发病重;麦棉套作比纯作麦地发病重。

2 调查项目和方法

2.1 系统调查

2.1.1 调查时间 从小麦拔节期开始,每10天调查1次,拔节后每5天调查1次,查到乳熟期末止。

2.1.2 调查田 根据当地小麦品种的布局状况和生态类型,选择发病条件好、发病较早,且有代表性的感病品种麦田2~3块,每块田面积不少于2×667m2,作为系统观测田。

2.1.3 调查方法 每块田固定5点,每点定100株,其中至少有2点已有病叶,其余各点随机选定。在整个观察期内不能用药。调查病叶数、严重度和发病部位,计算病情指数。记录结果并汇入表4-110。

表4-110 小麦白粉病病情系统调查表

2.2 大田普查

2.2.1 普查时间 分别在小麦秋苗期、拔节期、孕穗期和乳熟期进行。同一地区每年调查时间应大致相同。

2.2.2 普查田块 依据小麦栽培区划和常年发病情况选定若干代表性区域,在各代表性区域内选当地的主栽品种和感病品种的早、中、晚播种麦田调查。调查田块选10块地以上。

2.2.3 普查方法 每块田采取5点取样。白粉病处于零星发生期时,每点实查10m双行或5m2,检查发病株数和病叶的发病情况;全田普遍发病时,每点1m双行或1m2,各点随机检查100张叶片(调查上部三片叶的发病情况,旗叶和旗下一、二叶的取样数量应大体一致),调查发病叶片数和严重度,计算病叶率、平均严重度和病情指数,并计算病点率,记录结果并汇入表4-111。

表4-111 小麦白粉病病情普查表

3 预测预报方法

3.1 长期预测

根据越夏、越冬(上年发病程度)或秋苗及早春发病早迟、发病程度;冬季的气候状况;感病品种的栽培面积和作物长势;结合天气预报综合分析预测。如果上年发病重,秋苗或早春发病早且重,冬季和早春气温较常年偏高,感病品种面积大于50%,肥水条件好,小麦长势旺,长期预测4月份阴雨日多,气温正常偏高,则可预报白粉病将发生重;反之则发生轻。

3.2 中期预报

根据春季发病早迟及病情上升快慢,3月份天气状况及气象预报4月份的雨量、气温情况,感病品种面积大小和小麦长势等分析预测。如果春季发病较早,病情上升快,3月份稳定通过10℃的时间偏早,阴雨日较多,雨量适中,日照少;感病品种大面积连片种植,小麦长势旺,田间通风透光条件差,则可预测病害流行;反之偏轻。

3.3 短期预测

小麦发病后,特别是拔节-孕穗期的病情增长速度快,其间温、湿度又有利发病,此后天气预报4月下旬至5月上旬阴雨高湿(相对湿度70%以上),无大于25℃的连续高温天气,小麦长势较嫩,田间荫蔽,白粉病将大流行。

4 测报调查参考资料

4.1 术语解释

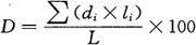
4.1.1 严重度 严重度指病叶上病斑菌丝层覆盖叶片面积占叶片总面积的比率,用分级法表示,共8级,分别用1%、5%、10%、20%、40%、60%、80%、100%表示。对处于等级之间的病情则取其接近值,虽已发病但严重度低于1%,按1%记。对群体叶片,需按下面公式计算病叶平均严重度。平均严重度的使用,在病害初发期可严格计数计算;当病害处于盛发期,且需调查点数繁多时,某点的平均严重度则根据目测估计给出。

式中:

D——病叶平均严重度(%);

di——各严重度级值;

li——各级病叶数;

L——调查总病叶数。

4.1.2 病情指数 用以表示病害发生的平均水平。用下列公式进行计算:

I=F×D×100

式中:

I——病情指数;

F——病叶率;

D——病叶平均严重度。

4.2 测报资料收集、汇报和汇总

收集小麦播种期和各期播种的小麦面积、灌溉面积及其他必要的栽培管理资料;主要品种栽培面积、生育期和抗白粉性,以及当地气象台(站)主要气象要素的预测值和实测值。

全国区域性测报站每年定时填写小麦白粉病模式报表报上级测报部门。

对小麦白粉病发生期和发生量进行统计汇总,记载小麦种植和白粉病发生及防治情况,总结发生特点,进行原因分析。

4.3 发生程度分级标准

小麦白粉病的发生程度以当地发病盛期的平均病情指数来确定。划分为5级,各级指标见表4-112。

表4-112 小麦白粉病发生程度分级指标

4.4 防治适期和防治指标

通常于孕穗期至抽穗期,病株率达20%或病情指数达10时进行化学防治。

随便看

 

离鸟网收录3541549条中英文词条,其功能与新华字典、现代汉语词典、牛津高阶英汉词典等各类中英文词典类似,基本涵盖了全部常用中英文字词句的读音、释义及用法,是语言学习和写作的有利工具。

 

Copyright © 2004-2024 vtrois.com All Rights Reserved
更新时间:2026/4/8 3:54:20