持续时间1~2s的短时最大负荷电流称为尖峰电流。
尖峰电流主要用来作为选择熔断器和低压断路器,整定继电保护及检验电动机等的条件。
(1)单台用电设备尖峰电流的计算
单台用电设备的尖峰电流就是该设备的启动电流,其运算关系为:
(6-34)
式中 Ijf——尖峰电流(A);
IN——用电设备的额定电流(A);
Ist——用电设备的启动电流(A);
Kst——启动电流倍数,笼型电动机为5~7,绕线式电动机为2~3,直流电动机为1.7,电焊变压器为3或更大。
(2)多台用电设备尖峰电流的计算
多台用电设备在线路上的尖峰电流,其运算关系为:

式中 Ijf——尖峰电流(A);(Ist-IN)max——用电设备中启动电流与额定电流之差为最大的那台设备的启动电流与额定电流之差(A);
——除启动电流与额定电流之差为最大的设备以外的其他n-1台设备的额定电流之和(A);
K∑——上述n-1台设备的同时系数,按台数多少选取,一般为0.7~1。
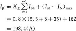
[例6-6] 在380V的三相供电线路上接有M1、M2、M3、M4,4台电动机,其额定电流和启动电流分别为:IN1=5.5A,Ist1=38.5A;IN2=5A,Ist2=35A;IN3=35A,Ist3=175A;IN4=27A,Ist4=189A。求该线路的尖峰电流。
[解] 由已知条件得知,电动机M4的启动电流与额定电流之差为最大,即:
Ist4-IN4=189-27=162(A)
取n-1台设备的同时系数K∑=0.8,则该线路的尖峰电流为:
