网站首页  词典首页


请输入您要查询的字词:

 

字词 工业噪声卫生标准
类别 中英文字词句释义及详细解析
释义

工业噪声卫生标准


由于暴露在过度的噪声中会导致听力损失,因此必须对人的听觉进行防护。噪声的危害除损害听觉外还会对心理产生影响,使人恐慌、厌烦和分散注意力;在生理上还会引起耳痛,恶心,失眠,血压升高,食欲不振,肌肉控制能力减退,消化不良及某些妇女病等多种疾病,即所谓噪声病。夜晚的噪声会影响睡眠。还会干扰语言交谈,影响思考,掩盖报警信号而导致发生事故等,强烈的噪声还会导致机械设备和建筑物的破坏,影响高灵敏度仪器的精度,甚至使灵敏的控制装置失灵。据资料介绍:160dB以上的高噪声可使建筑物玻璃震碎、墙壁震裂、烟囱倒塌。

为了保护工人的听力和健康,必须制定噪声允许达到的标准。我国在1980年1月由卫生部和国家劳动总局颁发的《工业企业噪声卫生标准》,1982年8月国务院环保领导小组发布的《城市区域环境噪声标准》,分别对生产车间及城市各类区域环境噪声规定了标准值。考虑到听力损失是由于积累暴露造成的,因此暴露在噪声环境中的时间和噪声级一样重要。噪声允许标准中规定了每个工作日接触噪声的时间和允许的噪声级。表5.3.4-1是我国和美国对噪声允许标准的比较表。

表5.3.4-1 我国和美国工业噪声允许标准值

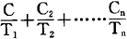
当工人暴露在不同噪声的时间不同时,应该考虑其综合影响。其计算方法如下:

式中 C1,C2,…Cn——实际暴露在某一噪声的时间,(h);

T1,T2…Tn——允许暴露在某一噪声的时间,(h);

当上述分数之和超过1时,即认为超过了允许标准。

例如一个工人的工作日为10小时,暴露在100dBA1小时,93dBA3小时,90dBA4小时,85dBA2小时。按OSHA标准计算为:

由于不允许采取内插法,93dBA应按95dBA处理,dBA在90以下可忽略。

如用ACGIH的标准则计算结果为:

需注意用OSHA标准计算时,虽然每个单独暴露在不同噪声的时间都在允许标准内,但总暴露要超过允许值。

ACGIH还规定了每天允许的脉冲噪声次数。

OSHA关于职业噪声暴露的标准是所有OSHA标准中最欠缺的一个,至今仍是工业上难以完全达到的。我国规定:暂时达不到标准的企业可以放宽一段时间。但是噪声的治理已经提到日程上,工厂在这方面应引起足够的注意。大多数欧州国家的噪声标准要比美国严格,但是执行却很不严格。

为了使工程师对噪声有一个基本了解,现将常遇到的噪声级举例加以说明。见表5.3.4-2。

表5.3.4-2 噪声级的举例

随便看

 

离鸟网收录3541549条中英文词条,其功能与新华字典、现代汉语词典、牛津高阶英汉词典等各类中英文词典类似,基本涵盖了全部常用中英文字词句的读音、释义及用法,是语言学习和写作的有利工具。

 

Copyright © 2004-2024 vtrois.com All Rights Reserved
更新时间:2026/4/8 4:17:25