网站首页  词典首页


请输入您要查询的字词:

 

字词 工作-闲暇模型
类别 中英文字词句释义及详细解析
释义

工作-闲暇模型


又称收入-闲暇模型(Income-Leisure Model),把消费者选择理论应用于时间分配问题的模型之一。

该模型假定消费者把他的时间应用于工作和闲暇活动两个方面。消费者在时间和价格的约束条件下通过选择收入和闲暇时间的特定组合来使他获得的效用达到最大值。通过此模型可以解释个人的劳动供给行为。

这一问题的数学模型可以表述为:

max U=U(m,L)

s.t m+ωL=ωT

或 m=ω(T-L)

图1

式中,U(m,L)是以收入(m)和闲暇时间(L)为自变量的效用函数,ω是工资率,T代表消费者的时间总量(如每天只有24小时)。

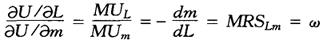
效用最大化的一阶条件:

也就是说,以闲暇代替收入的边际替代率等于预算线的斜率(工资率)时,消费者获得最大效用(图1)。

图2

如果工作时间分为两部分,一部分是正常工作时间,其工资率是ω,另一部分是加班加点,其工资率是ω′,且ω′>ω。其数学模型可表述为:

max U=U(m,L)

其中,L0为正常休息时间。由图2可知,对于无差异曲线为I1的消费者来说,加班费具有较大的吸引力,该消费者可提供更多的劳动;但对于无差异曲线为I3的消费者来说,加班费没有吸引力;对于无差异曲线为I2的消费者来说,加班获得较高工资与不加班获得较多闲暇时间是无差别的,即

(L2,m2)~(L3,m3)

利用收入-闲暇模型可以推导出劳动供给函数或劳动供给曲线。如图3,当工资率提高后(ω3>ω2>ω1),相应的工作时间就可确定出来,即:

W=T-L=W(ω)

式中,W(ω)是劳动供给函数。一般认为,个人的劳动供给曲线是向后弯曲的,这是由于工资提高后的替代效应和收入效应共同作用的结果。

注意,与静态的消费者选择理论(没有时间分配)不同,这里替代效应是负的,即

但收入效应是正的,即

图3

这并不表明闲暇是劣等品(恰恰相反,闲暇被看成正常商品)。根本区别在于静态消费者选择理论中的货币收入是固定的,而这里既定的约束是时间总量(T),当工资率提高时,货币收入(m)也随之提高。

因此替代效应和收入效应变化方向相反。这样,当收入效应大于替代效应的绝对值时,劳动供给曲线就向后弯曲。

随便看

 

离鸟网收录3541549条中英文词条,其功能与新华字典、现代汉语词典、牛津高阶英汉词典等各类中英文词典类似,基本涵盖了全部常用中英文字词句的读音、释义及用法,是语言学习和写作的有利工具。

 

Copyright © 2004-2024 vtrois.com All Rights Reserved
更新时间:2026/4/8 10:19:26